Início > Produtos e serviços > Biotecnologia > Materiais de base biológica > PHA
VISÃO GERAL Matéria-prima do produto Aplicação do Produto

Visão geral do produto

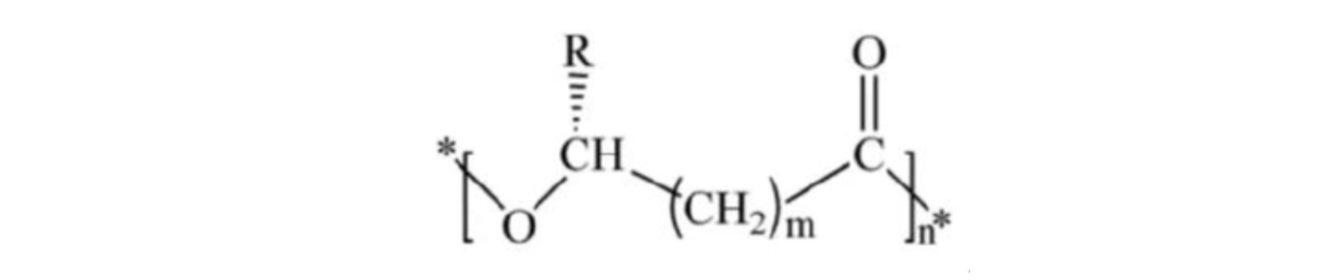
O PHA (polihidroxialcanoato) é um biomaterial polimérico que se encontra nas células microbianas, como as células bacterianas (semelhante às gorduras bacterianas). O PHA não é apenas um produto das bactérias quando as suas condições de crescimento são desequilibradas, mas também uma fonte de carbono e uma reserva de energia nos microrganismos. O PHA é um polímero constituído por 100-3000 monómeros de ácidos gordos hidroxilados idênticos ou diferentes, a maioria dos quais com comprimentos de cadeia de 3-14 A maioria deles são ácidos gordos 3-hidroxilados com comprimentos de cadeia de 3-14 átomos de carbono e cadeias laterais aromáticas ou alifáticas altamente variáveis.

Estudos recentes demonstraram que existem mais de 150 monómeros de PHA, constituindo uma grande família de polímeros. A grande variedade de propriedades dos materiais e a sua degradabilidade amiga do ambiente fazem dele um dos polímeros que substituem os produtos plásticos petroquímicos tradicionais.

Atualmente, foram industrializados quatro tipos de PHA, incluindo o poli-hidroxibutirato (PHB), o copoliéster de 3-hidroxibutirato e 3-hidroxivalerato (PHBV), o copoliéster de 3-hidroxibutirato e 3-hidroxicaproato (PHBHHx) e o copoliéster de 3-hidroxibutirato e 4-hidroxibutirato (P34HB), etc., que apresentam as suas próprias vantagens em termos de aplicações práticas.

O desempenho do produto PHA também pode ser comparado com outros materiais degradáveis

Complementar para melhorar as propriedades do material


Marca do produto

 

PB3000G

PB3420G

Características do produto

· Boa rigidez

· Boa barreira

· Boa resistência ao calor

·A força é ajustável

· A dureza é ajustável

·Boa resistência ao calor

· Excelente propriedade de barreira

Recomendação de aplicação

· Moldagem por extrusão · Moldagem por impressão 3D · Moldagem por injeção

· Termoformagem    · Moldagem por fundição   · Moldagem por sopro   · Moldagem por blister

· Adequado para modificação de misturas de PLA, PBAT, PBS, etc.

 


Comparação de propriedades de Phangel PHA e outros materiais poliméricos


propriedade

Phangel PHA

PLA

PBAT

PBS

PB3000G

PB3420G

Temperatura de transição de vidro,℃

0~5

-5~-3

60

-30

-32

Ponto de fusão,℃

175

170

166

115

114

Dedo de fusãog/10min

3~15

3~12

10~25

1~8

4~30

densidadeg/cm3

1.25

1.23

1.26

1.23

1.26

Resistência à tração,Mpa

30~35

20~25

50

21

30

Tensão nominal na fratura de alongamento,%

2~5

5~10

/

/

/

Resistência ao impacto entalhada do feixe do modilhão,KJ/m²

1~2

2~4

1

14

5

Temperatura de deformação térmica, ℃

120~130

85~95

56

50

89