Fermento beta-glucano existe na parede celular da levedura e é bem conhecido pelas funções de reforço da imunidade, anti-infecção, anti-tumor e assim por diante. Como fabricante número 1 de extrato de levedura no mundo e contando com suas fortes capacidades de P&D, Angel Yeast desenvolveu levedura beta-glucana de levedura de padaria (Saccharomyces cerevisiae) vinte anos atrás, e agora é amplamente utilizado em uma variedade de alimentos.
Comparação de diferentes beta-glucanos
A atividade biológica do beta-glucano é determinada pela sua estrutura molecular que depende da sua origem (levedura, aveia, cevada, fungos). Beta-glucano de levedura, com a estrutura molecular única de beta-1,3/1,6-glucano, mostrou-se ter a mais potente capacidade de reforço imunológico.

O beta-1,3/1,6-glucano derivado da levedura de panificação (Saccharomyces cerevisiae) é o beta-glucano mais estudado e, de longe, o mais bem documentado em termos de eficácia imunoestimulante, modo de ação e segurança, sendo, portanto, considerado superior aos beta-glucanos de outras fontes.
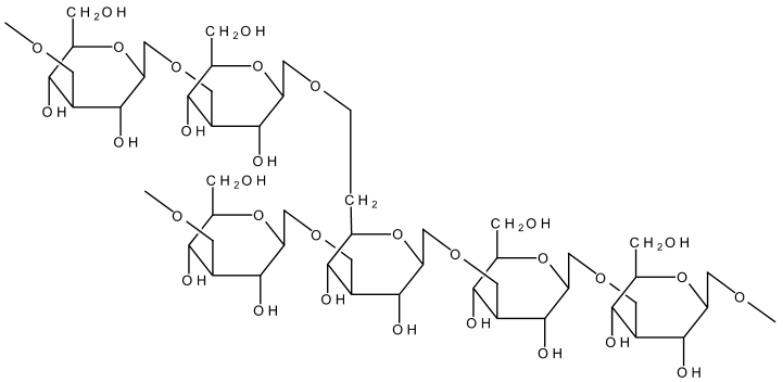
Estrutura Molecular
Angel Yeast beta-glucan é uma longa cadeia de polissacarídeos. Contém a cadeia principal do β-1,3-glucano e a cadeia ramificada do β-1,6-glucano, o peso molecular é de cerca de 500-1000KD.

Estrutura molecular beta-glucano da levedura Bettcan
Mecanismo de suporte imunológico
O trato gastrointestinal é um importante órgão imunitário do corpo, rico em células dendríticas e macrófagos - células imunitárias inatas que monitorizam continuamente os componentes que passam pelo intestino. Equipadas com receptores especializados de reconhecimento de padrões (PRRs), estas células imunitárias podem reconhecer e responder a estruturas tipicamente encontradas em microorganismos nocivos. Quando ingerido, o beta-glucano de levedura liga-se aos PRRs na superfície destas células imunitárias. Esta ligação alerta as células imunitárias e desencadeia uma série de eventos bioquímicos que tornam o sistema imunitário mais potente. Assim, o beta-glucano de levedura reforça simplesmente o sistema imunitário para lhe permitir reagir rapidamente em caso de infeção, apoiando a saúde e o bem-estar geral.

Aplicações
A saúde imunológica é fundamental para todas as faixas etárias, independentemente do estilo de vida, idade ou profissão. Está se tornando um tópico importante, especialmente com o estilo de vida engajado e muitas vezes desafiador de hoje. Portanto, produtos com ingredientes que impulsionam o sistema imunológico estão atualmente atraindo muita atenção. Os grupos-alvo para este tópico não são apenas idosos ou crianças, mas também pessoas esportivas, bem como pessoas estressadas para melhorar sua imunidade.
A levedura betcan beta-glucano é produzida de acordo com os mais altos padrões de qualidade certificados. Além disso, é certificado Kosher e Halal. É seguro para pessoas com alergia à levedura, porque os componentes da levedura que podem causar alergia são completamente removidos durante o processo de produção. Como ingrediente puro e natural, também pode ser usado em produtos vegetarianos e veganos.
◉ Produtos leiteiros
O beta-glucano da levedura é um agente seguro e poderoso de reforço imunológico para produtos lácteos. os produtos lácteos são uma categoria global em expansão. Há uma enorme demanda do consumidor por produtos lácteos com benefícios adicionais. Levedura beta-glucana é atraente como um ingrediente funcional em iogurte, bebidas de iogurte, leite e bebidas lácteas.
◉ Nutrição desportiva
Os produtos de nutrição esportiva estão agora atraindo um público mais amplo de consumidores conscientes da saúde. Um sistema imunológico bem funcional é crucial para o desempenho atlético, bem como para um estilo de vida ativo. No entanto, o exercício em si tem impacto na função imunológica. Pesquisas mostraram que exercícios intensivos suprimem o sistema imunológico, comprometendo a capacidade do corpo de se defender.
A levedura beta-glucana ajuda a apoiar a função imunitária saudável, para que os atletas e os utilizadores recreativos possam recuperar mais rapidamente do stress do exercício. Estudos demonstraram que a ingestão oral de beta-1,3/1,6-glucano melhora a função imunitária, promove uma resposta inflamatória saudável, apoia a imunidade da mucosa e promove a saúde respiratória.
O beta-glucano de levedura é adequado para aplicação numa variedade de formatos de produtos de nutrição desportiva, tais como barras energéticas, barras nutricionais e proteicas, bebidas desportivas e funcionais, bebidas em pó.
◉ Suplementos alimentares
Com a deterioração do meio ambiente e o envelhecimento, o aumento acentuado das doenças crônicas e do comprometimento da saúde será um grande desafio global de saúde pública. Neoplasias malignas, úlceras pépticas, gastrite crônica, nefrite crônica, diabetes, artrite reumatoide, enfisema, infecções crônicas etc estão associadas à diminuição da resistência corporal em idosos. Ao adicionar levedura beta-glucan pode melhorar a imunidade e resistência do corpo. Levedura beta-glucana em alimentos saudáveis, suplementos dietéticos é muito comum, principalmente para regulação imunológica, anti-oxidação e outras funções.
◉ Alimentos e bebidas funcionais
Como um novo ingrediente alimentar, levedura beta-glucana pode ser aplicada a produtos lácteos, doces, bebidas, suco de frutas, alimentos de panificação e outros alimentos, especialmente nos alimentos funcionais idosos, adicionando levedura beta-glucana pode dar aos produtos uma variedade de funções de saúde. O beta-glucano de levedura foi aplicado a leite em pó de fórmula infantil, bebidas funcionais, biscoitos, barras de proteína, lanches nutricionais, grânulos probióticos e outros alimentos, dando aos produtos uma variedade de alegações de saúde.
Regulamentos
Nos Estados Unidos, levedura beta-glucana foi identificada como GRAS (geralmente reconhecida como segura), uma substância alimentar que é geralmente considerada segura pela US Food and Drug Administration (US.FDA). Pode ser aplicado a uma variedade de alimentos, incluindo alimentos de panificação e pré-mistura, bebidas, cereais, produtos lácteos, produtos de proteína vegetal, suco de frutas processadas, doces macios, sopa, adicionando não mais do que 200mg por porção.
Beta-glucano de levedura aprovada pela UE como novo ingrediente alimentar, incluindo bebidas e uma variedade de alimentos.
A China também aprovou beta-glucano de levedura como um novo ingrediente alimentar e um realçador nutricional, pode ser usado em uma variedade de alimentos, incluindo leite em pó de fórmula infantil maior.