
Descripción general del producto
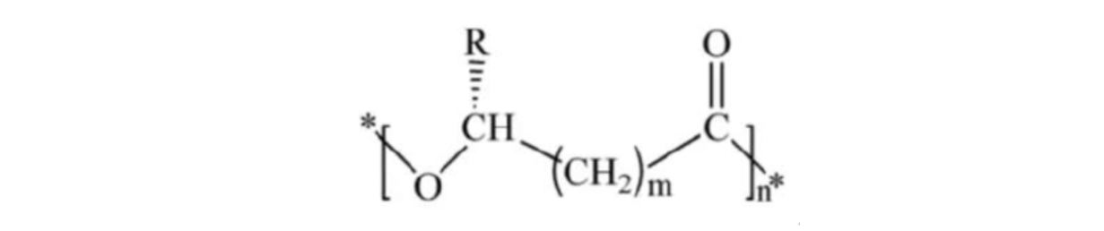
PHA (polihidroxialcanoatos) es un biomaterial polimérico que se encuentra en células microbianas como las células bacterianas (similar a la grasa bacteriana). PHA no solo es el producto de las bacterias cuando las condiciones de crecimiento no están en equilibrio, sino también la fuente de carbono y la sustancia de almacenamiento de energía en los microorganismos. PHA es un polímero que consta de 100 a 3000 monómeros de ácidos grasos hidroxílicos idénticos o diferentes, la mayoría de los cuales son ácidos grasos 3-hidroxilo con longitudes de cadena de 3 a 14 átomos de carbono, y las cadenas laterales son grupos aromáticos o alifáticos altamente variables.

Las últimas investigaciones muestran que existen más de 150 tipos de monómeros de PHA, que constituyen una enorme familia de polímeros. Las propiedades ricas y variadas del material y su degradabilidad respetuosa con el medio ambiente lo convierten en uno de los polímeros que reemplazan a los productos plásticos petroquímicos tradicionales.
Animación del concepto del ciclo natural de bajas emisiones de carbono de PHA
En la actualidad, se han industrializado un total de cuatro tipos de PHA, incluidos el polihidroxibutirato (PHB), el copoliéster de 3-hidroxibutirato 3-hidroxivalerato (PHBV), el copoliéster de 3-hidroxibutirato 3-hidroxicaproato (PHBHHx) y el copoliéster de 3-hidroxibutirato 4-hidroxibutirato (P34HB), etc., que tienen sus propias ventajas en aplicaciones prácticas.

El rendimiento del producto PHA también se puede comparar con otros materiales degradables.
Complementario para mejorar las propiedades del material.

Marca del producto
PB3000G | PB3420G | |
Características del producto | · Mejor rigidez · Buena barrera · Buena resistencia al calor | · La fuerza es ajustable · La dureza es ajustable · Buena resistencia al calor · Excelente propiedad de barrera |
Recomendación de aplicación | · Moldeo por extrusión · Moldeo por impresión 3D · Moldeo por inyección · Termoformado · Conformado por fundición · Moldeo por soplado · Moldeo por blíster · Adecuado para la modificación de mezclas de PLA, PBAT, PBS, etc. | |
Comparación de las propiedades de Phangel PHA y otros materiales poliméricos
propiedad | Phangel PHA | PLA | PBAT | PBS | |
PB3000G | PB3420G | ||||
Temperatura de transición vítrea, ℃ | 0~5 | -5~-3 | 60 | -30 | -32 |
Punto de fusión, ℃ | 175 | 170 | 166 | 115 | 114 |
Dedo de fusión, g/10 min | 3~15 | 3~12 | 10~25 | 1~8 | 4~30 |
densidad, g/cm3 | 1.25 | 1.23 | 1.26 | 1.23 | 1.26 |
Resistencia a la tracción, Mpa | 30~35 | 20~25 | 50 | 21 | 30 |
Deformación nominal en la fractura por elongación, % | 2~5 | 5~10 | / | / | / |
Resistencia al impacto con entalla de viga en voladizo, KJ/m² | 1~2 | 2~4 | 1 | 14 | 5 |
Temperatura de deformación térmica, ℃ | 120~130 | 85~95 | 56 | 50 | 89 |