El betaglucano de levadura existe en la pared celular de la levadura y es bien conocido por sus funciones de mejora de la inmunidad, antiinfecciosas, antitumorales, etc. Como el mayor fabricantede extracto de levadura en el mundo y apoyando en sus sólidas capacidades de investigación y desarrollo, Angel Yeast desarrolló beta-glucano de levadura a partir de levadura de panadería (Saccharomyces cerevisiae) hace veinte años, y ahora se usa ampliamente en una variedad de alimentos.
Comparación de diferentes beta-glucanos
La actividad biológica del betaglucano está determinada por su estructura molecular que depende de su origen (levadura, avena, cebada, hongos). Se ha demostrado que el beta-glucano de levadura, con la estructura molecular única de beta-1,3/1,6-glucano, tiene la capacidad más potente para mejorar el sistema inmunológico.

El beta-1,3/1,6-glucano derivado de la levadura de panadería (Saccharomyces cerevisiae) es el beta-glucano más estudiado y, con diferencia, el mejor documentado en términos de eficacia inmunoestimulante, modo de acción y seguridad, y por lo que se considera superior a los beta-glucanos de otras fuentes.
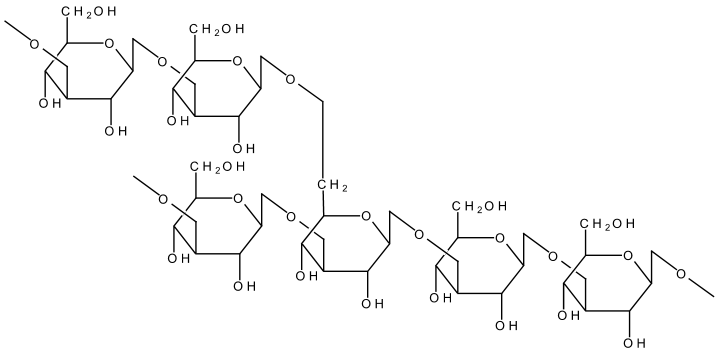
Estructura,Molecular
El betaglucano de Angel Yeast es un polisacárido de cadena larga. Contiene la cadena principal de β-1,3-glucano y la cadena ramificada de β-1,6-glucano, el peso molecular es de alrededor de 500-1000 KD.

Estructura molecular del betaglucano de la levadura Bettcan
Mecanismo de apoyo inmunológico
El tracto gastrointestinal es un órgano inmunológico importante en el cuerpo, rico en células dendríticas y macrófagos: células inmunes innatas que monitorean continuamente los componentes que pasan por el intestino. Equipadas con receptores de reconocimiento de patrones (PRR) especializados, estas células inmunes pueden reconocer y responder a estructuras que normalmente se encuentran en microorganismos dañinos. Cuando se ingiere, el betaglucano de levadura se une a los PRRs en la superficie de estas células inmunes. Esta unión alerta a las células inmunes y desencadena una serie de eventos bioquímicos que hacen que el sistema inmunológico sea más potente. De este modo, el betaglucano de levadura simplemente refuerza el sistema inmunológico para permitirle reaccionar rápidamente en caso de infección, favoreciendo así la salud y el bienestar general.

APLICACIONES
La salud inmunológica es clave para todos los grupos de edad, independientemente del estilo de vida, la edad o la profesión. Se está convirtiendo en un tema importante, especialmente con el estilo de vida ajetreado y a menudo desafiante que llevamos hoy en día. Por ello, los productos con ingredientes que refuerzan el sistema inmunológico están atrayendo actualmente mucha atención. Los grupos destinatarios de este tema no son sólo las personas mayores o los niños, sino también los deportistas y las personas estresadas para mejorar su inmunidad.
El beta-glucano de levadura Bettcan se produce de acuerdo con los más altos estándares de calidad certificados. Además, cuenta con certificación Kosher y Halal. Es seguro para las personas con alergia a la levadura, porque los componentes de la levadura que pueden causar alergia se eliminan completamente durante el proceso de producción. Como ingrediente puro y natural, también se puede utilizar para productos vegetarianos y veganos.
◉ Productos lácteos
El beta-glucano de levadura es un agente inmunoestimulante seguro y potente para los productos lácteos. Los productos lácteos son una categoría global en auge. Existe una enorme demanda de consumidores de productos lácteos con beneficios añadidos. El betaglucano de levadura es atractivo como ingrediente funcional en yogur, bebidas de yogur, leche y bebidas lácteas.
◉ Nutrición deportiva
Los productos de nutrición deportiva ahora están atrayendo a un público más amplio de consumidores preocupados por la salud. Un sistema inmunológico que funcione bien es crucial para el rendimiento deportivo y para un estilo de vida activo. Sin embargo, el ejercicio en sí mismo tiene un impacto en la función inmune. Las investigaciones han demostrado que el ejercicio intenso suprime el sistema inmunológico, comprometiendo la capacidad del cuerpo para defenderse.
El beta-glucano de levadura ayuda a mantener una función inmunológica saludable, por lo que los atletas y los usuarios recreativos pueden recuperarse más rápido del estrés del ejercicio. Los estudios han demostrado que la ingesta oral de beta-1,3/1,6-glucano mejora la función inmunológica, promueve una respuesta inflamatoria saludable, apoya la inmunidad de las mucosas y promueve la salud respiratoria.
El beta-glucano de levadura es adecuado para su aplicación en una variedad de formatos de productos de nutrición deportiva, como barras energéticas, barras nutritivas y proteicas, bebidas deportivas y funcionales y bebidas en polvo.
◉ Suplementos Dietéticos
Con el deterioro del medio ambiente y el envejecimiento, el fuerte aumento de las enfermedades crónicas y del deterioro de la salud constituirá un importante desafío para la salud pública mundial. Las neoplasias malignas, úlceras pépticas, gastritis crónica, nefritis crónica, diabetes, artritis reumatoide, enfisema, infecciones crónicas, etc. se asocian con una disminución de la resistencia corporal en los ancianos. Añadiendo betaglucano de levadura se puede mejorar la inmunidad y la resistencia del organismo. El beta-glucano de levadura es muy común en alimentos saludables y suplementos dietéticos, principalmente para la regulación inmunológica, la antioxidación y otras funciones.
◉ Alimentos y bebidas funcionales
Como un nuevo ingrediente alimentario, el beta-glucano de levadura se puede aplicar a productos lácteos, dulces, bebidas, jugos de frutas, alimentos horneados y otros alimentos, especialmente en los alimentos funcionales para personas mayores, se pueden brindar a los productos una variedad de funciones para la salud por medio de agregar beta-glucano de levadura . El beta-glucano de levadura se ha aplicado a fórmulas infantiles con leche en polvo, bebidas funcionales, galletas, barras de proteínas, snacks nutricionales, gránulos probióticos y otros alimentos, aportando a los productos una variedad de afirmaciones sobre la salud.
Reglamentos
En Estados Unidos, el beta-glucano de levadura ha sido identificado como GRAS (Generalmente Reconocido como Seguro), una sustancia alimenticia que generalmente es considerada segura por la Administración de Alimentos y Medicamentos de Estados Unidos (US.FDA). Se puede aplicar a una variedad de alimentos, incluidos alimentos panificados y premezclados, bebidas, cereales, productos lácteos, productos de proteína vegetal, jugos de frutas procesados, dulces blandos, sopas, agregando no más de 200 mg por porción.
La UE aprobó el beta-glucano de levadura como nuevo ingrediente alimentario, que incluye bebidas y una variedad de alimentos.
China también aprobó el beta-glucano de levadura como un nuevo ingrediente alimentario y un potenciador de la nutrición, que puede usarse en una variedad de alimentos, incluida la leche en polvo para fórmulas infantiles de mayor tamaño.