
Aperçu du produit
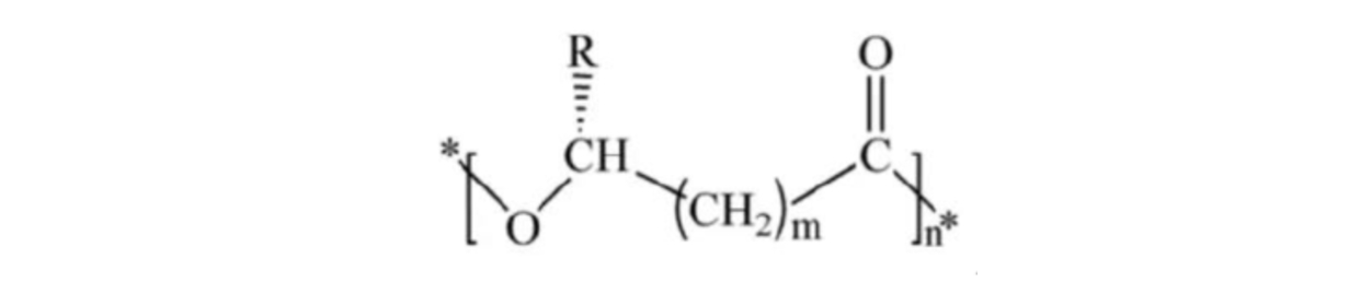
Le PHA (polyhydroxyalcanoates) est un biomatériau polymère présent dans les cellules microbiennes telles que les cellules bactériennes (semblables à la graisse bactérienne). Le PHA n'est pas seulement le produit des bactéries lorsque les conditions de croissance sont déséquilibrées, mais aussi la source de carbone et la substance de stockage de l'énergie dans les micro-organismes composé de 100 à 3 000 monomères d'acides gras hydroxylés identiques ou différents, dont la plupart sont des acides gras 3-hydroxylés avec des longueurs de chaîne de 3 à 14 atomes de carbone, et dont les chaînes latérales sont des groupes aromatiques ou aliphatiques très variables.

Les dernières recherches montrent qu'il existe plus de 150 types de monomères PHA, qui constituent une vaste famille de polymères. Les propriétés riches et variées des matériaux et leur dégradabilité respectueuse de l'environnement en font l'un des polymères qui remplacent les produits plastiques pétrochimiques traditionnels.
Actuellement, quatre types de PHA ont été industrialisés, notamment le polyhydroxybutyrate (PHB), le copolyester 3-hydroxybutyrate 3-hydroxyvalérate (PHBV), le copolyester 3-hydroxybutyrate 3-hydroxycaproate (PHBHHx) et le copolyester 3-hydroxybutyrate 4-hydroxybutyrate (P34HB), qui ont leurs propres caractéristiques les avantages propres aux applications pratiques.

Les performances des produits PHA peuvent également être comparées à celles d'autres matériaux dégradables
Complémentaire pour améliorer les propriétés des matériaux

Marque du produit
PB3000G | PB3420G | |
Caractéristiques du produit | · -Bonne rigidité · Bonne barrière · Bonne résistance à la chaleur | · La force est réglable · La résistance est réglable · Bonne résistance à la chaleur · Excellente propriété de barrière |
Recommandation de candidature | · Moulage par extrusion · moulage par impression 3D · moulage par injection · thermoformage · moulage par coulée · moulage par soufflage · moulage sous blister · Convient à la modification des mélanges de PLA, PBAT, PBS, etc | |
Comparaison des propriétés du PHA Phangel et d'autres matériaux polymères
propriété | Phangel PHA | PLA | PBAT | PBS | |
PB3000G | PB3420G | ||||
Température de transition du verre, ℃ | 0~5 | -5~-3 | 60 | -30 | -32 |
Point de fusion, ℃ | 175 | 170 | 166 | 115 | 114 |
Fusion finger, g/10 min | 3~15 | 3~12 | 10~25 | 1~8 | 4~30 |
density, g/cm3 | 1.25 | 1.23 | 1.26 | 1.23 | 1.26 |
Tensile strength, Mpa | 30~35 | 20~25 | 50 | 21 | 30 |
Déformation nominale à la rupture par allongement, % | 2~5 | 5~10 | / | / | / |
Résistance à l'écrasement d'une poutre en porte-à-faux, KJ/m2 | 1~2 | 2~4 | 1 | 14 | 5 |
Température de déformation thermique, ℃ | 120~130 | 85~95 | 56 | 50 | 89 |