Le bêta-glucan de levure existe dans la paroi cellulaire de la levure et est bien connu pour ses fonctions de renforcement de l'immunité, de lutte contre les infections, de lutte contre les tumeurs, etc. En tant que premier fabricant mondial d'extraits de levure et s'appuyant sur ses solides capacités de R&D, Angel Yeast a développé le bêta-glucan de levure à partir de la levure de boulangerie (Saccharomyces cerevisiae) il y a vingt ans, et il est aujourd'hui largement utilisé dans une grande variété d'aliments.
Comparaison de différents bêta-glucanes
L'activité biologique du bêta-glucan est déterminée par sa structure moléculaire qui dépend de son origine (levure, avoine, orge, champignons). Le bêta-glucane de levure, dont la structure moléculaire unique est le bêta-1,3/1,6-glucane, s'est avéré avoir la capacité de renforcement immunitaire la plus puissante.

Le bêta-1,3/1,6-glucan dérivé de la levure de boulangerie (Saccharomyces cerevisiae) est le bêta-glucan le plus étudié et de loin le mieux documenté en termes d'efficacité de stimulation immunitaire, de mode d'action et de sécurité, et est donc considéré comme supérieur aux bêta-glucans provenant d'autres sources.
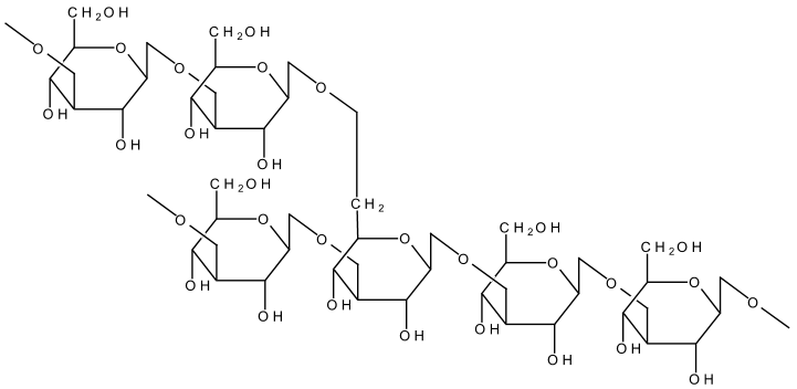
Structure moléculaire
Le bêta-glucan de levure Angel est une longue chaîne de polysaccharides. Il contient la chaîne principale du β-1,3-glucane et la chaîne ramifiée du β-1,6-glucane, le poids moléculaire est d'environ 500-1000KD.

Structure moléculaire de Bêta-glucan de levure Bettcan
Mécanisme de soutien immunitaire
Le tractus gastro-intestinal est un organe immunitaire important de l'organisme, riche en cellules dendritiques et en macrophages - des cellules immunitaires innées qui surveillent en permanence les composants qui passent par l'intestin. Équipées de récepteurs de reconnaissance des formes (PRR) spécialisés, ces cellules immunitaires peuvent reconnaître les structures typiques des micro-organismes nuisibles et y répondre. Lorsqu'il est ingéré, le bêta-glucane de levure se lie aux PRR à la surface de ces cellules immunitaires. Cette liaison alerte les cellules immunitaires et déclenche une série d'événements biochimiques qui rendent le système immunitaire plus puissant. En conséquence, le bêta-glucan de levure renforce simplement le système immunitaire pour lui permettre de réagir rapidement en cas d'infection, ce qui favorise la santé et le bien-être en général.

Applications
La santé immunitaire est essentielle pour tous les groupes d'âge, indépendamment du mode de vie, de l'âge ou de la profession. Il s'agit d'un sujet de plus en plus important, en particulier dans le contexte actuel d'un mode de vie engagé et souvent difficile. Par conséquent, les produits contenant des ingrédients qui renforcent le système immunitaire font actuellement l'objet d'une grande attention. Les groupes cibles ne sont pas seulement les personnes âgées ou les enfants, mais aussi les sportifs et les personnes stressées qui souhaitent améliorer leur immunité.
Le bêta-glucan de levure Bettcan est produit conformément aux normes de qualité certifiées les plus strictes. De plus, il est certifié kasher et halal. Il est sûr pour les personnes allergiques à la levure, car les composants de la levure susceptibles de provoquer une allergie sont complètement éliminés au cours du processus de production. En tant qu'ingrédient pur et naturel, il peut également être utilisé pour les produits végétariens et végétaliens.
◉ Produits laitiers
Le bêta-glucan de levure est un agent immunitaire sûr et puissant pour les produits laitiers. Les produits laitiers sont une catégorie en plein essor au niveau mondial. Il existe une forte demande de la part des consommateurs pour des produits laitiers présentant des avantages supplémentaires. Le bêta-glucan de levure est intéressant en tant qu'ingrédient fonctionnel dans le yaourt, les boissons à base de yaourt, le lait et les boissons à base de lait.
◉ Nutrition sportive
Les produits de nutrition sportive attirent désormais un public plus large de consommateurs soucieux de leur santé. Un système immunitaire performant est essentiel aux performances sportives et à un mode de vie actif. Pourtant, l'exercice en lui-même a un impact sur la fonction immunitaire. La recherche a montré que l'exercice intensif supprime le système immunitaire, compromettant ainsi la capacité de l'organisme à se défendre.
Le bêta-glucane de levure aide à soutenir une fonction immunitaire saine, de sorte que les athlètes et les utilisateurs récréatifs peuvent récupérer plus rapidement du stress de l'exercice. Des études ont démontré que la prise orale de bêta-1,3/1,6-glucane améliore la fonction immunitaire, favorise une réponse inflammatoire saine, soutient l'immunité des muqueuses et favorise la santé respiratoire.
Le bêta-glucan de levure peut être utilisé dans divers formats de produits de nutrition sportive, tels que les barres énergétiques, les barres nutritionnelles et protéinées, les boissons sportives et fonctionnelles, les boissons en poudre.
◉ Suppléments alimentaires
Avec la détérioration de l'environnement et le vieillissement, la forte augmentation des maladies chroniques et des atteintes à la santé constituera un défi majeur pour la santé publique mondiale. Les néoplasmes malins, les ulcères gastroduodénaux, les gastrites chroniques, les néphrites chroniques, le diabète, la polyarthrite rhumatoïde, l'emphysème, les infections chroniques, etc. sont associés à une diminution de la résistance corporelle chez les personnes âgées. L'ajout de bêta-glucan de levure peut améliorer l'immunité et la résistance de l'organisme. Le bêta-glucan de levure est très répandu dans les aliments de santé et les compléments alimentaires, principalement pour la régulation immunitaire, l'anti-oxydation et d'autres fonctions.
◉ Aliments et boissons fonctionnels
En tant que nouvel ingrédient alimentaire, le bêta-glucan de levure peut être utilisé dans les produits laitiers, les bonbons, les boissons, les jus de fruits, les produits de boulangerie et d'autres aliments, en particulier dans les aliments fonctionnels destinés aux personnes âgées, l'ajout de bêta-glucan de levure pouvant conférer aux produits diverses fonctions de santé. Le bêta-glucan de levure a été appliqué au lait en poudre pour nourrissons, aux boissons fonctionnelles, aux biscuits, aux barres protéinées, aux en-cas nutritionnels, aux granulés de probiotiques et à d'autres aliments, donnant aux produits une variété d'allégations de santé.
Règlements
Aux États-Unis, le bêta-glucan de levure a été identifié comme GRAS (Generally Recognized as Safe), une substance alimentaire généralement considérée comme sûre par la Food and Drug Administration (US.FDA). Il peut être appliqué à une variété d'aliments, y compris les produits de boulangerie et les prémélanges, les boissons, les céréales, les produits laitiers, les produits à base de protéines végétales, les jus de fruits transformés, les bonbons mous, les soupes, en n'ajoutant pas plus de 200 mg par portion.
L'UE a approuvé le bêta-glucan de levure en tant que nouvel ingrédient alimentaire, notamment pour les boissons et une variété d'aliments.
La Chine a également approuvé le bêta-glucan de levure en tant que nouvel ingrédient alimentaire et améliorateur nutritionnel, pouvant être utilisé dans une variété d'aliments, y compris des préparations pour nourrissons en poudre plus importantes.