Überblick - Angelyeast-de
    Startseite > Produkte & Dienstleistungen > Biotechnologie > Biobasierte Materialien > PHA
Überblick
Produktvorteil
Produktanwendung

Produktübersicht

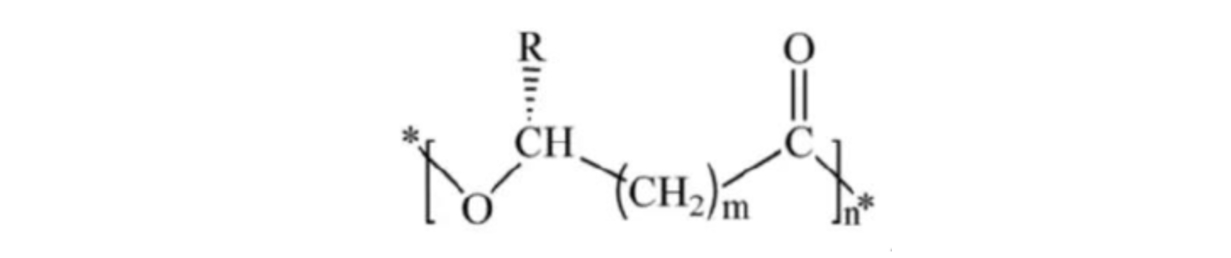
PHA (Polyhydroxyalkanoate) ist ein polymeres Biomaterial, das in mikrobiellen Zellen wie Bakterienzellen vorkommt (ähnlich wie bakterielles Fett). PHA ist nicht nur das Produkt von Bakterien, wenn die Wachstumsbedingungen unausgewogen sind, sondern auch die Kohlenstoffquelle und der Energiespeicherstoff in Mikroorganismen. PHA ist ein Polymer, das aus 100-3000 identischen oder unterschiedlichen Hydroxylfettsäuremonomeren besteht, von denen die meisten 3-Hydroxylfettsäuren mit Kettenlängen von 3-14 Kohlenstoffatomen sind, und die Seitenketten sind hochvariabel aromatische oder aliphatische Gruppen.

Die neuesten Forschungsergebnisse zeigen, dass es mehr als 150 Arten von PHA-Monomeren gibt, die eine riesige Polymerfamilie bilden. Die reichen und vielfältigen Materialeigenschaften sowie die umweltfreundliche Abbaubarkeit machen es zu einem der Polymere, die traditionelle petrochemische Kunststoffprodukte ersetzen.


PHA Natürliches Niedrig-Kohlenstoff-Zyklus Konzeptanimation


Derzeit sind insgesamt vier Arten von PHA industrialisiert worden, darunter Polyhydroxybutyrat (PHB), 3-Hydroxybutyrat-3-Hydroxyvalerat-Copolyester (PHBV), 3-Hydroxybutyrat-3-Hydroxycaproat-Copolyester (PHBHHx) und 3-Hydroxybutyrat-4-Hydroxybutyrat-Copolyester (P34HB), die jeweils ihre eigenen Vorteile in praktischen Anwendungen bieten.

Die Leistung von PHA-Produkten kann auch mit anderen abbaubaren Materialien verglichen werden.

Ergänzend zur Verbesserung der Materialeigenschaften.


Produktmarke


PB3000G

PB3420G

Produkteigenschaften

· Gute Steifigkeit

· Gute Barriereeigenschaft

· Gute Hitzebeständigkeit

· Die Festigkeit ist einstellbar

· Die Zähigkeit ist einstellbar

· Gute Hitzebeständigkeit

· Ausgezeichnete Barriereeigenschaft

Anwendungsempfehlung

· Extrusionsformung · 3D-Druckformung · Spritzguss

· Thermoformen · Gießen · Blasformen · Blisterformen

· Geeignet für die Mischmodifikation von PLA, PBAT, PBS usw.


Vergleich der Eigenschaften von Phangel PHA und anderen Polymermaterialien


Eigenschaft

Phangel PHA

PLA

PBAT

PBS

PB3000G

PB3420G

Glasübergangstemperatur, ℃

0~5

-5~-3

60

-30

-32

Schmelzpunkt, ℃

175

170

166

115

114

Schmelzfinger,g/10min

3~15

3~12

10~25

1~8

4~30

Dichte,g/cm3

1.25

1.23

1.26

1.23

1.26

Zugfestigkeit,Mpa

30~35

20~25

50

21

30

Nennverformung bei Dehnungsbruch,%

2~5

5~10

/

/

/

Kerbschlagfestigkeit des Kragträgers,KJ/m²

1~2

2~4

1

14

5

Thermische Verformungstemperatur, ℃

120~130

85~95

56

50

89