Beta-glukan ragi terdapat pada dinding sel ragi dan terkenal dengan fungsinya meningkatkan kekebalan tubuh, anti infeksi, anti tumor dan sebagainya. Sebagai produsen ekstrak ragi terkemuka di dunia, Angel Yeast memanfaatkan kemampuan R&D-nya yang kuat untuk mengembangkan beta-glukan ragi dari ragi roti (Saccharomyces cerevisiae) dua puluh tahun yang lalu. Saat ini, beta-glukan tersebut digunakan secara luas dalam berbagai macam produk makanan.
Perbandingan berbagai beta-glukan
Aktivitas biologis beta-glukan ditentukan oleh struktur molekulnya yang bergantung pada asal-usulnya (ragi, gandum, jelai, jamur). Beta-glukan dari ragi, dengan struktur molekul unik beta-1,3/1,6-glukan, terbukti memiliki kemampuan meningkatkan kekebalan tubuh yang paling ampuh.

Beta-1,3/1,6-glukan yang berasal dari ragi roti (Saccharomyces cerevisiae) merupakan beta-glukan yang paling banyak dipelajari dan terdokumentasi dengan baik, terutama dalam hal khasiatnya dalam merangsang kekebalan tubuh, cara kerja, dan keamanannya. Oleh karena itu, beta-glukan dianggap lebih unggul daripada beta-glukan dari sumber lain.
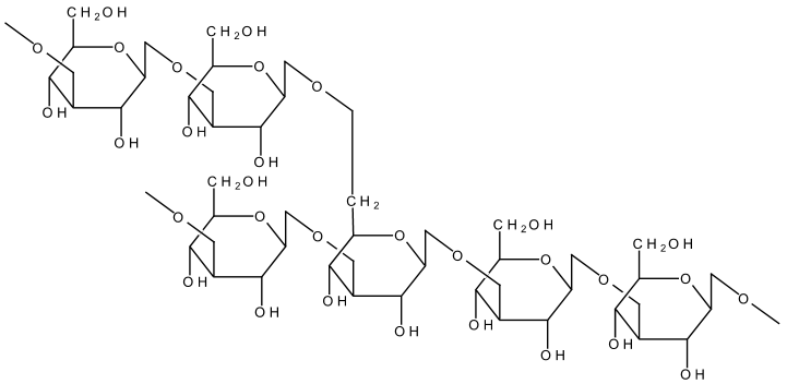
Struktur Molekul
Beta-glukan Angel Yeast merupakan polisakarida rantai panjang. Polisakarida ini memiliki rantai utama β-1,3-glukan dan rantai cabang β-1,6-glukan, dengan berat molekul berkisar antara 500 hingga 1000 kDa.

Struktur molekul beta-glukan ragi Bettcan
Mekanisme dukungan kekebalan
Saluran pencernaan berfungsi sebagai organ imun penting dalam tubuh, yang dihuni oleh sel dendritik dan makrofag—pemain kunci dalam sistem imun bawaan yang terus memantau zat-zat yang melewati usus. Dilengkapi dengan reseptor pengenalan pola (PRR) khusus, sel-sel imun ini dapat mengenali dan merespons struktur yang biasanya ditemukan pada mikroorganisme berbahaya. Ketika tertelan, beta-glukan ragi mengikat PRR pada permukaan sel imun ini. Pengikatan ini memberi sinyal kepada sel imun dan memicu serangkaian peristiwa biokimia yang membuat sistem imun lebih kuat. Jadi, beta-glukan ragi hanya meningkatkan sistem imun agar mampu bereaksi cepat jika terjadi infeksi, sehingga mendukung kesehatan dan kesejahteraan secara keseluruhan.

Aplikasi
Kesehatan kekebalan tubuh sangat penting bagi semua kelompok umur, tanpa memandang gaya hidup, usia atau profesi. Hal ini telah menjadi topik penting terutama dengan gaya hidup masa kini yang sibuk dan seringkali penuh tantangan. Oleh karena itu, produk dengan bahan-bahan yang dapat meningkatkan sistem kekebalan tubuh saat ini sedang banyak menarik perhatian. Kelompok sasaran untuk topik ini tidak hanya terbatas pada orang tua atau anak-anak; tetapi juga para olahragawan serta orang yang sedang stres untuk meningkatkan kekebalan tubuhnya.
Beta-glukan ragi Bettcan diproduksi sesuai dengan standar kualitas bersertifikat tertinggi. Selain itu, produk ini juga bersertifikat Kosher dan Halal. Produk ini aman bagi penderita alergi ragi, karena komponen-komponen dalam ragi yang dapat menyebabkan alergi dihilangkan sepenuhnya selama proses produksi. Sebagai bahan yang murni dan alami, produk ini juga dapat digunakan untuk produk vegetarian dan vegan.
◉ Produk susu
Beta-glukan ragi merupakan agen peningkat kekebalan tubuh yang aman dan ampuh untuk produk susu. Produk susu merupakan kategori global yang sedang berkembang pesat. Ada permintaan konsumen yang besar terhadap produk susu dengan manfaat tambahan. Beta-glukan ragi menarik sebagai bahan fungsional dalam yoghurt, minuman yoghurt, susu dan minuman susu.
◉ Nutrisi olahraga
Produk nutrisi olahraga kini menarik khalayak konsumen yang lebih luas yang sadar akan kesehatan. Sistem kekebalan tubuh yang berfungsi dengan baik sangat penting untuk performa atletik serta gaya hidup aktif. Namun, olahraga itu sendiri memiliki dampak pada fungsi kekebalan tubuh. Penelitian telah menunjukkan bahwa olahraga yang intensif dapat menekan sistem kekebalan tubuh, sehingga melemahkan kemampuan tubuh untuk mempertahankan diri.
Beta-glukan ragi membantu mendukung fungsi kekebalan tubuh yang sehat, sehingga atlet dan pengguna rekreasi dapat pulih lebih cepat dari stres olahraga. Penelitian telah menunjukkan bahwa asupan oral beta-1,3/1,6-glukan meningkatkan fungsi kekebalan tubuh, mendorong respons peradangan yang sehat, mendukung kekebalan mukosa dan meningkatkan kesehatan pernapasan.
Beta-glukan ragi cocok untuk diaplikasikan dalam berbagai format produk nutrisi olahraga, seperti batangan energi, batangan nutrisi dan protein, minuman olahraga & fungsional, serta minuman bubuk.
◉ Suplemen Makanan
Dengan memburuknya lingkungan dan dan populasi yang menua,, peningkatan tajam dalam penyakit kronis dan gangguan kesehatan menimbulkan tantangan kesehatan masyarakat global yang utama. Kondisi seperti tumor ganas, tukak lambung, gastritis kronis, nefritis kronis, diabetes, artritis reumatoid, emfisema, dan infeksi kronis sering dikaitkan dengan penurunan daya tahan tubuh pada orang tua. Dengan menambahkan Ragi beta-glukan dapat meningkatkan kekebalan dan daya tahan tubuh. Beta-glukan ragi dalam makanan kesehatan, suplemen makanan sangat umum, terutama untuk pengaturan kekebalan tubuh, anti-oksidasi dan fungsi lainnya.
◉ Makanan & minuman fungsional
Sebagai bahan makanan baru, beta-glukan ragi dapat diaplikasikan pada produk susu, permen, minuman, jus buah, makanan panggang dan makanan lainnya, terutama pada makanan fungsional bagi lansia. Dengan menambahkan beta-glukan ragi, berbagai fungsi kesehatan dapat diberikan pada produk. Beta-glukan ragi telah diaplikasikan pada susu bubuk formula bayi, minuman fungsional, kue, batang protein, makanan ringan bergizi, butiran probiotik dan makanan lainnya, sehingga memberikan berbagai klaim kesehatan pada produk tersebut.
Peraturan
Di Amerika Serikat, beta-glukan ragi telah diidentifikasi sebagai GRAS (Umumnya Diakui Aman), zat makanan yang secara umum dianggap aman oleh Badan Pengawas Obat dan Makanan Amerika Serikat (US.FDA). Sebutan ini berarti bahwa beta-glukan dianggap aman untuk digunakan dalam produk makanan. Beta-glukan dapat digunakan pada berbagai makanan,, termasuk makanan yang dipanggang dan campuran premix, minuman, sereal, produk susu, produk protein nabati, jus buah olahan, permen lunak, sup, dengan penambahan tidak lebih dari 200 mg per sajian.
Uni Eropa menyetujui beta-glukan ragi sebagai bahan makanan baru, termasuk minuman dan berbagai makanan.
China juga menyetujui beta-glukan ragi sebagai bahan makanan baru dan penambah gizi, dapat digunakan dalam berbagai makanan termasuk susu bubuk formula bayi yang lebih besar.