Gambaran Umum - Angelyeast-id
    Beranda > Produk & Layanan > Bioteknologi > Bahan Berbasis Bio > PHA
Gambaran Umum
Keunggulan Produk
Aplikasi Produk

Gambaran umum produk

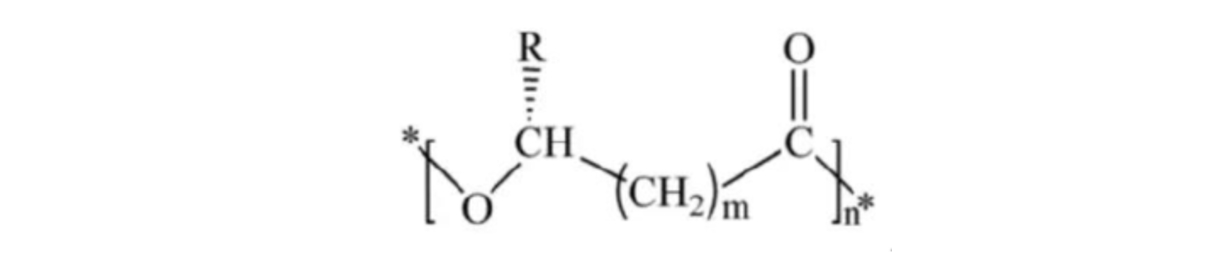
PHA (Polyhydroxyalkanoates) merupakan biomaterial polimer yang ditemukan dalam sel mikroba seperti sel bakteri (mirip dengan lemak bakteri). PHA tidak hanya berfungsi sebagai produk yang dibentuk oleh bakteri dalam kondisi pertumbuhan yang tidak seimbang, tetapi juga sebagai sumber karbon dan bahan penyimpanan energi dalam mikroorganisme. PHA terdiri dari 100 hingga 3000 monomer asam lemak hidroksil yang identik atau berbeda, yang sebagian besar adalah asam lemak 3-hidroksil dengan panjang rantai 3 hingga 14 atom karbon. Rantai samping monomer ini sangat bervariasi, termasuk gugus aromatik atau alifatik.

Penelitian terkini telah mengidentifikasi lebih dari 150 jenis monomer PHA,, yang merupakan keluarga polimer yang besar. Sifat material yang kaya dan beragam serta kemampuan terurai yang ramah lingkungan menjadikannya salah satu polimer yang menggantikan produk plastik petrokimia tradisional.


Animasi Konsep Siklus Karbon Rendah PHA Natural


Saat ini, total empat jenis PHA telah diindustrialisasi, termasuk polihidroksibutirat (PHB), 3-hidroksibutirat 3-hidroksivalerat kopoliester (PHBV), 3-hidroksibutirat 3-hidroksikaproat kopoliester (PHBHHx) dan 3-hidroksibutirat 4-hidroksibutirat kopoliester (P34HB), dll., yang memiliki keunggulan tersendiri dalam aplikasi praktis.

Kinerja produk PHA juga dapat dibandingkan dengan bahan terdegradasi lainnya

Pelengkap untuk meningkatkan sifat material


Merek produk


PB3000G

PB3420G

Karakteristik produk

· Kekakuan yang baik

· Penghalang yang bagus

· Ketahanan panas yang baik

· Kekuatannya bisa disesuaikan

· Ketangguhannya dapat disesuaikan

· Ketahanan panas yang baik

· Properti penghalang yang sangat baik

Rekomendasi aplikasi

· Ekstrusi molding · Pencetakan 3D olding · Pencetakan injeksi

· pembentukan termal · Pengecoran pembentukan · Pencetakan tiup · Pencetakan Blister

· Cocok untuk modifikasi pencampuran PLA, PBAT, PBS dll.


Perbandingan sifat Phangel PHA dan bahan polimer lainnya


milik

PHAPhangel

PLA

PBAT

PBS

PB3000G

PB3420G

Suhu transisi kaca ,℃

0~5

-5~-3

60

-30

-32

Titik peleburan ,℃

175

170

166

115

114

Jari fusi ,g/10menit

3~15

3~12

10~25

1~8

4~30

kepadatan ,g/cm3

1.25

1.23

1.26

1.23

1.26

Kekuatan tarik,Mpa

30~35

20~25

50

21

30

Regangan nominal pada fraktur perpanjangan,%

2~5

5~10

/

/

/

Kekuatan impak berlekuk balok kantilever,KJ/m²

1~2

2~4

1

14

5

Suhu deformasi termal ,℃

120~130

85~95

56

50

89