By Ma Chunlei
China is one of the countries with the highest salt intake in the world, with an average daily salt intake of more than 10 g, twice the recommended daily salt intake of the World Health Organization, and more than 75% of the recommended 6 g intake in the Dietary Guidelines for Chinese Residents (2016). The Chinese Nutrition Society recommends that the appropriate sodium intake for adults is 2200 mg/d (1 g of table salt contains about 393 mg of sodium). Salt is the most important source of sodium intake. Adequate intake of sodium ions is essential for maintaining physiological functions of the body. However, excessive intake can cause health hazards. Research shows that high sodium intake is one of the important causes of hypertension and cardiovascular disease, and reducing sodium intake can effectively reduce blood pressure and the incidence rate of related chronic diseases. At present, researchers from various countries have put forward different solutions for salt reduction and sodium reduction: reducing the amount of sodium chloride added, replacing sodium salt with potassium salt or mixed salt, and enhancing the saltiness smell to improve the saltiness perception of food; Flavor enhancer is used to activate taste receptors in the mouth to make up for the decrease of salt or masking effect caused by the decrease of sodium salt.

Yeast extract (YE) is a natural yeast product refined by using modern biotechnology to degrade proteins, nucleic acids and other macromolecules in yeast into nucleotides, peptides, amino acids and other small molecules. It contains carbohydrates, vitamins, organic acids and other nutritional factors. It is a natural nutrient flavor and flavor enhancer, and is widely used as a flavoring agent.
There are few reports on the salt reduction mechanism of YE. Therefore, the salt reduction effect and characteristics of yeast extract and YE with different peptide segments and the auxiliary salt-reducing effect in application were studied as follows:
1. Effect of different YE on saltiness intensity of saline solution
It can be seen from the test data in Table 1 that the total nitrogen and amino acid nitrogen content of the selected YE are different, and the comparison shows that the hydrolysis degree of FA62 is low, and the amino acid nitrogen index is 2.88%; The content of natural freshening and flavoring ingredients of FA62 and KU012 are the richest, the content of free glutamic acid of KU012 reaches 10.85%, and the content of I+G sodium salt complex reaches 9.53%; The flavor sense of 2% YE solution is shown in Table 1. The flavor of each product has different characteristics and has certain uniqueness.
Table 1 Physical and chemical properties of YE products
YE | Water (g/100 g) | Total nitrogen (%) | Amino acid acid nitrogen (%) | Nacl (%) | I+G (%) | Glu (%) | Flavor (2%) |
Angeoprime FA02 | 96.30 | 12.08 | 5.07 | 0.26 | / | 3.21 | Rich and thick taste |
Angeoprime FA28 | 96.60 | 11.28 | 4.28 | 0.25 | 3.00 | 2.84 | Delicious and mellow taste |
Angeoboost FA62 | 95.40 | 11.28 | 4.22 | 1.76 | 5.64 | 5.15 | Umami coordination |
Angeoboost KU012 | 95.70 | 11.17 | 5.09 | 1.9 | 9.53 | 10.85 | Strong and lasting umami |
Angeotide KK02 | 96.10 | 12.45 | 4.25 | 1.76 | 4.08 | 4.16 | Coordination and soft taste |
Angeotide FA31 | 95.60 | 9.95 | 2.88 | 1.58 | 1.76 | / | Rich and thick taste |

Fig.1 Effect of different YE on the salinity of saline solution
As shown in Figure 1, The sensory analysis shows that the addition of YE can improve the salinity of 0.4% saline solution, different YE has different effects on the saltiness intensity of saline solution.
2. Effect of YE on the saltiness intensity of compound salty liquid
The experiment is carried out on the basic model of compound salty liquid, and the results are shown in Figure 2.

Fig.2 Effect of YE on the salty taste intensity of compound salty liquid
Note: Different lowercase letters indicate significant differences, P<0.05.
Adding YE can improve the saltiness of the salty compound solution to a certain extent, and the saltiness intensity of the four YE groups is different. Angeoboost KU012 has the strongest saltiness enhancement effect. The content of Hou-feel Angeotide FA31 amino nitrogen is low, indicating that the content of small molecular peptides is rich. A part of small molecular peptides can enhance the thick taste of food, and the strong taste can play a role in modifying the weak taste and promoting the salty taste.
3. Effect of different peptide samples of Angeotide FA31 on saltiness
As shown in figure 3, sensory analysis of its separated peptide segment showed that the sample with peptide molecular weight. Compared with other peptide segments, the sweet, Umami and Hou-feel taste of the peptide segment is weaker, and the overall taste feel bad.

Fig.3 Sensory results of 1% solution of Angeotide FA31 different isolated peptide samples
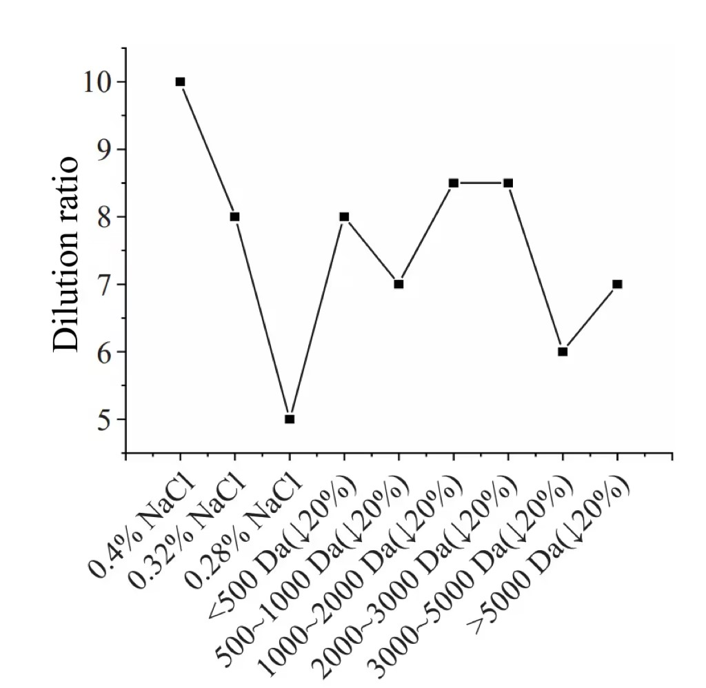
Effect of different peptide samples of thick Angeotide FA31 on saltiness Different saline solutions were prepared according to the experimental design, and YE samples of different peptide segments were added to the low-sodium solution with different gradients (minus 20%/minus 30% sodium salt). The comparison results of sensory analysis are shown in Figures 4 to 7.

Fig.4 Saltiness dilution ratio of different peptide to reduce 20% sodium solution

Fig.5 Saltiness dilution ratio of different peptide to reduce 30% sodium solution
As shown in Figure 4 and Figure 5, the salt dilution times of the solution after 20% or 30% sodium salt reduction of YE peptide segments are analyzed. After 20% and 30% salt reduction, the dilution times of 1000~2000 Da and 2000~3000 Da of YE peptide segments are higher than those of direct salt reduction. The dilution ratio of other peptides after action is less than or equal to the direct salt reduction.

Fig.6 The effect of different peptides of YE on the duration of salty taste of the solution after reducing 20% sodium salt

Fig.7 The effect of different peptides of YE on the duration of salty taste of the solution after reducing 30% sodium salt
Figure 6 and Figure 7 show the effect of different YE peptide segments on the saltiness duration of the solution after salt reduction. From the figure, it can be seen that the saltiness duration of 1000~2000 Da peptide segments after salt reduction is significantly stronger than that of direct salt reduction.
4. Effect of Angeotide FA31 on the flavor of soup seasoning powder
Select professional sensory personnel to compare the flavor effects of Angeotide FA31in the high soup seasoning powder, and the results are shown in Figure 8.

Fig.8 Influence of Angeotide type FA31 on the flavor of broth seasoning powder
Reduce the proportion of NaCl used in the original high soup seasoning powder by 20%, and add 3% FA31 for seasoning. The sweetness and aroma of the soup have no obvious change, the reduction of salty taste is not obvious, the taste and thick sense are significantly improved, and the overall coordination of the soup is better. It shows that the addition of YE plays a positive role in improving the effect of soup ingredients, reducing the overall flavor feeling deterioration caused by the reduction of sodium salt, thus helping to reduce salt and increase flavor of high soup seasoning.
Click here to discover more application of yeast extract in soup and bouillon.
5. Changes of sodium content in salty milk tea before and after YE salt reduction
It can be seen from Table 2 that the sodium content of the whole salt group is 283.12 mg/100 g, while the sodium content decreased by 11.66% to 250.10 mg/100 g after adding YE to assist in salt reduction by 10%. According to the analysis, based on the taste synergy, fresh substances can effectively improve the potential salty sensory intensity of food. YE is rich in delicious substances, which can reduce the content of salt and sodium without changing consumer acceptance. Therefore, YE as a substitute for salt is of great significance for salt reduction.
Table 2 Changes in sodium content of salty milk tea
Sample | Total salt | YE auxiliary reducing |
Sodium content/(mg/100 g) | 283.12±1.80 | 250.10±0.33 |
6. Conclusion
Yeast extract is rich in free amino acids and flavoring peptides, which has a wide range of application function research significance. The above research has compared the effects of different YE on salt reduction, and found that the Hou-feel Angeotide FA31 can play a role in enhancing the mouthfulness and modifying the off-notes of potassium salt in salt-reducing foods, and the 1000-2000 Da peptide segment plays an important role in enhancing the strong taste and taste.
Reference:
[1] Xiong Jian, Qin Xianwu, Li Lina, Guo Hui, Li Pei. Research on the salt reduction function of yeast extract and its application in high soup seasoning powder [J]. Food Industry Science and Technology, 2022,43 (19): 307-314. DOI: 10.13386/j. issn1002-0306.2021120158.
[2] Zhang Sai, Zhang Xiaofei, Jin Yang, Shen Shuo, Li Ku, Li Pei, Peng Yijiao. Study on the optimization of salt reducing formula and flavor quality of salted milk tea assisted by yeast extract [J]. Food Science and Technology, 2021,46 (10): 234-242. DOI: 10.13684/j. cnki.spkj.2021.10.037
About Angel Yeast
Founded in 1986, Angel Yeast Co., Ltd specializes in the production of yeast and yeast derivatives. Its product range includes baker's yeast and ingredients, Chinese dim sum and seasoning, savory yeast extract, human health, animal nutrition, plant nutrition, distilled spirits and biofuels, microbial nutrition and enzymes. At present, Angel Yeast has 11 international advanced production bases in China, Egypt and Russia, and provides products and services for more than 150 countries and regions globally.
About Angel Yeast Extract-Savoury:
Angel YE (yeast extract) made from edible yeast, by degradation the protein and nucleic acid in the yeast cells into nutritional seasonings with the application of modern biotechnology, has the advantages of increasing the fresh flavor, reducing salt, balancing the odor, strong tolerance and food properties, which promotes the global healthy operation of salt reduction and "clean label ".
Press Contact:
ANGEL YEAST CO.,LTD
Address: 168 Chengdong Avenue, Yichang, Hubei 443003, P. R. China
Tel: +86-717-6369520, 6369558
Fax: +86-717-6370680
Email: yefood@angelyeast. com