Hefe-Beta-Glucan kommt in der Zellwand der Hefe vor und ist bekannt für seine Funktionen zur Steigerung der Immunität, zur Bekämpfung von Infektionen, zur Anti-Tumor-Wirkung und mehr. Als der weltweit führende Hersteller von Hefeextrakt und gestützt auf seine starken F&E-Fähigkeiten entwickelte Angel Hefe vor zwanzig Jahren Hefe-Beta-Glucan aus Backhefe (Saccharomyces cerevisiae), das heute in einer Vielzahl von Lebensmitteln weit verbreitet ist.
Vergleich verschiedener Beta-Glucane
Die biologische Aktivität von Beta-Glucan wird durch seine molekulare Struktur bestimmt, die von seiner Herkunft (Hefe, Hafer, Gerste, Pilzen) abhängt. Beta-Glucan aus Hefe, mit der einzigartigen molekularen Struktur von Beta-1,3/1,6-Glucan, hat sich als das stärkste immunstärkende Mittel erwiesen.

Beta-1,3/1,6-Glucan, das aus Backhefe (Saccharomyces cerevisiae) gewonnen wird, ist das am besten untersuchte Beta-Glucan und nachweislich das am besten dokumentierte hinsichtlich der immunstimulierenden Wirksamkeit, Wirkungsweise und Sicherheit. Daher wird es als überlegen gegenüber Beta-Glucanen aus anderen Quellen angesehen.
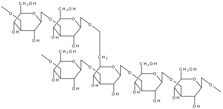
Molekulare Struktur
Angel Hefe Beta-Glucan ist eine lange Kette von Polysacchariden. Es enthält die Hauptkette von β-1,3-Glucan und die verzweigte Kette von β-1,6-Glucan; das Molekulargewicht liegt bei etwa 500-1000 KD.

Molekulare Struktur von Bettcan Hefe Beta-Glucan
Mechanismus der Immununterstützung
Der Magen-Darm-Trakt ist ein wichtiges Immunorgan im Körper, das reich an dendritischen Zellen und Makrophagen ist – angeborene Immunzellen, die kontinuierlich die Komponenten überwachen, die durch den Darm gelangen. Ausgestattet mit spezialisierten Rezeptoren zur Mustererkennung (PRRs) können diese Immunzellen Strukturen erkennen und darauf reagieren, die typischerweise in schädlichen Mikroorganismen vorkommen. Bei der Einnahme bindet Beta-Glucan aus Hefe an die PRRs auf der Oberfläche dieser Immunzellen. Diese Bindung alarmiert die Immunzellen und löst eine Reihe biochemischer Ereignisse aus, die das Immunsystem leistungsfähiger machen. So steigert Beta-Glucan aus Hefe das Immunsystem, um es in die Lage zu versetzen, schnell auf eine Infektion zu reagieren und die allgemeine Gesundheit sowie das Wohlbefinden zu unterstützen.

Anwendungen
Die Immun-Gesundheit ist für alle Altersgruppen entscheidend, unabhängig von Lebensstil, Alter oder Beruf. Es wird zu einem wichtigen Thema, insbesondere angesichts des engagierten und oft herausfordernden Lebensstils von heute. Daher ziehen Produkte mit Inhaltsstoffen, die das Immunsystem stärken, derzeit viel Aufmerksamkeit auf sich. Zielgruppen für dieses Thema sind nicht nur ältere Menschen oder Kinder, sondern auch Sportler sowie gestresste Personen, um ihre Immunität zu verbessern.
Bettcan Hefe Beta-Glucan wird gemäß den höchsten zertifizierten Qualitätsstandards hergestellt. Darüber hinaus ist es koscher und halal zertifiziert. Es ist sicher für Menschen mit Hefeallergie, da die allergieauslösenden Komponenten in der Hefe während des Produktionsprozesses vollständig entfernt werden. Als reiner und natürlicher Inhaltsstoff kann es auch in vegetarischen und veganen Produkten verwendet werden.
◉ Milchprodukte
Hefe Beta-Glucan ist ein sicheres und leistungsstarkes immunstärkendes Mittel für Milchprodukte. Milchprodukte sind eine boomende globale Kategorie. Es gibt eine enorme Nachfrage der Verbraucher nach Milchprodukten mit zusätzlichen Vorteilen. Hefe Beta-Glucan ist als funktioneller Inhaltsstoff in Joghurt, Joghurtgetränken, Milch und Milchgetränken besonders attraktiv.
◉ Sporternährung
Produkte der Sporternährung ziehen nun ein breiteres Publikum gesundheitsbewusster Verbraucher an. Ein gut funktionierendes Immunsystem ist entscheidend für die sportliche Leistung sowie für einen aktiven Lebensstil. Dennoch hat Bewegung an sich Auswirkungen auf die Immunfunktion. Forschungen haben gezeigt, dass intensive Bewegung das Immunsystem unterdrückt und die Fähigkeit des Körpers beeinträchtigt, sich zu verteidigen.
Hefe-Beta-Glucan unterstützt eine gesunde Immunfunktion, sodass Sportler und Freizeitsportler sich schneller von körperlichem Stress erholen können. Studien haben gezeigt, dass die orale Aufnahme von Beta-1,3/1,6-Glucan die Immunfunktion verbessert, eine gesunde Entzündungsreaktion fördert, die mukosale Immunität unterstützt und die Atemwegsgesundheit fördert.
Hefe-Beta-Glucan eignet sich für die Anwendung in verschiedenen Formaten von Sporternährungsprodukten, wie z.B. Energieriegel, Ernährungs- und Proteinriegel, Sport- und Funktionsgetränke sowie Pulvergetränke.
◉ Nahrungsergänzungsmittel
Mit der Verschlechterung der Umwelt und dem Altern wird der rasante Anstieg chronischer Krankheiten und Gesundheitsbeeinträchtigungen eine große globale Herausforderung für die öffentliche Gesundheit darstellen. Bösartige Neubildungen, Magengeschwüre, chronische Gastritis, chronische Nephritis, Diabetes, rheumatoide Arthritis, Emphysem, chronische Infektionen usw. sind mit einer verringerten Körperresistenz bei älteren Menschen verbunden. Durch die Zugabe von Hefe-Beta-Glucan kann die Immunität und Widerstandskraft des Körpers verbessert werden. Hefe-Beta-Glucan ist in Gesundheitslebensmitteln und Nahrungsergänzungsmitteln weit verbreitet, hauptsächlich zur Immunregulation, Antioxidation und anderen Funktionen.
◉ Funktionelle Lebensmittel und Getränke
Als neuartige Lebensmittelzutat kann Hefe-Beta-Glucan in Milchprodukten, Süßigkeiten, Getränken, Fruchtsäften, Backwaren und anderen Lebensmitteln, insbesondere in funktionellen Lebensmitteln für ältere Menschen, eingesetzt werden. Durch die Zugabe von Hefe-Beta-Glucan können Produkte eine Vielzahl von Gesundheitsfunktionen bieten. Hefe-Beta-Glucan wurde in Säuglingsnahrung, funktionellen Getränken, Keksen, Proteinriegeln, nährstoffreichen Snacks, Probiotikum-Granulaten und anderen Lebensmitteln verwendet, wodurch Produkte eine Vielzahl von Gesundheitsansprüchen erhalten.
Vorschriften
In den Vereinigten Staaten wurde Hefe-Beta-Glucan als GRAS (Generally Recognized as Safe) eingestuft, eine Lebensmittelsubstanz, die von der US-amerikanischen Food and Drug Administration (US.FDA) allgemein als sicher angesehen wird. Es kann in einer Vielzahl von Lebensmitteln eingesetzt werden, einschließlich Backwaren und Fertigmischungen, Getränken, Cerealien, Milchprodukten, pflanzlichen Proteinprodukten, verarbeitetem Fruchtsaft, weichen Süßigkeiten und Suppen, wobei nicht mehr als 200 mg pro Portion hinzugefügt werden.
Die EU hat Hefe-Beta-Glucan als neuartige Lebensmittelzutat genehmigt, einschließlich Getränke und einer Vielzahl von Lebensmitteln.
China hat auch Beta-Glucan aus Hefe als neuartige Lebensmittelzutat und Ernährungsergänzungsmittel genehmigt, das in einer Vielzahl von Lebensmitteln, einschließlich größerer Säuglingsnahrungs-Pulver, verwendet werden kann.