
نظرة عامة على المنتج
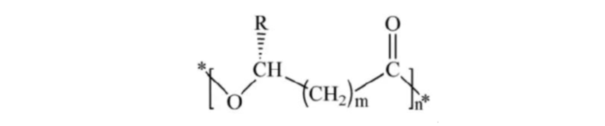
PHA (Polyhydroxyalkanoates) هو مادة بوليمرية بيولوجية موجودة في الخلايا الميكروبية مثل الخلايا البكتيرية (مشابهة للدهون البكتيرية). لا يُعد PHA مجرد منتج للبكتيريا عندما تكون ظروف النمو غير متوازنة، ولكنه أيضًا مصدر للكربون ومادة لتخزين الطاقة في الكائنات الحية الدقيقة. PHA هو بوليمر يتكون من 100-3000 مونومر من أحماض دهنية هيدروكسيلية متطابقة أو مختلفة، ومعظمها أحماض هيدروكسيلية ثلاثية الكربون ذات أطوال سلاسل تتراوح بين 3-14 ذرة كربون، وتتنوع سلاسلها الجانبية بين مجموعات عطرية أو أليفاتية.

تُظهر الأبحاث الحديثة أن هناك أكثر من 150 نوعًا من مونومرات PHA، مما يشكل عائلة بوليمرية ضخمة. إن خصائص المواد المتنوعة والقابلة للتحلل البيئي تجعلها واحدة من البوليمرات التي تحل محل المنتجات البلاستيكية البتروكيماوية التقليدية.
رسوم متحركة لمفهوم دورة الكربون المنخفضة الطبيعية من PHA
في الوقت الحالي، تم تصنيع أربعة أنواع من PHA على نطاق صناعي، وهي البولي هيدروكسي بيوتيرات (PHB)، بوليستر 3-هيدروكسي بيوتيرات 3-هيدروكسي فاليرات (PHBV)، بوليستر 3-هيدروكسي بيوتيرات 3-هيدروكسي كابروات (PHBHHx)، وبوليستر 3-هيدروكسي بيوتيرات 4-هيدروكسي بيوتيرات (P34HB)، حيث يمتلك كل منها مزايا فريدة في التطبيقات العملية.

يمكن أيضًا مقارنة أداء منتج PHA بمواد قابلة للتحلل الأخرى
مكمل لتعزيز خصائص المواد

العلامة التجارية للمنتج
PB3000G | PB3420G | |
خصائص المنتج | · صلابة جيدة · حاجز جيد · مقاومة جيدة للحرارة | · القوة قابلة للتعديل · يمكن تعديل الصلابة · مقاومة جيدة للحرارة · خاصية حاجز ممتازة |
توصية التطبيق | · صب البثق · صب الطباعة ثلاثية الأبعاد · صب الحقن · التشكيل الحراري · تشكيل الصب · النفخ · التشكيل بالبثور · مناسب لتعديل مزج PLA وPBAT وPBS وما إلى ذلك | |
مقارنة خصائص Phangel PHA مع مواد البوليمر الأخرى
ملكية | فانجيل فا | جيش التحرير الشعبى الصينى | اختبار | بي بي إس | |
PB3000G | PB3420G | ||||
درجة حرارة انتقال الزجاج ، ℃ | 0~5 | -5~-3 | 60 | -30 | -32 |
نقطة الاندماج ، ℃ | 175 | 170 | 166 | 115 | 114 |
إصبع الاندماج ، جم/10 دقائق | 3~15 | 3~12 | 10~25 | 1~8 | 4~30 |
الكثافة ، جم/سم3 | 1.25 | 1.23 | 1.26 | 1.23 | 1.26 |
قوة الشد ، ميجا باسكال | 30~35 | 20~25 | 50 | 21 | 30 |
الانفعال الاسمي عند كسر الاستطالة ، % | 2~5 | 5~10 | / | / | / |
قوة التأثير المسننة لشعاع الكابولي ، كيلوجول/م² | 1~2 | 2~4 | 1 | 14 | 5 |
درجة حرارة التشوه الحراري ، ℃ | 120~130 | 85~95 | 56 | 50 | 89 |