酵母ベータグルカンは酵母の細胞壁に存在し、免疫機能の向上、抗感染、抗腫瘍などの機能で広く知られています。世界でNo.1の酵母抽出物メーカーとして、強力な研究開発能力を活かし、エンジェル・イーストは20年前に製パン用酵母(サッカロミセス・セレビシエ)から酵母ベータグルカンを開発し、現在ではさまざまな食品に広く使用されています。
異なるベータグルカンの比較
ベータグルカンの生物学的活性は、その分子構造によって決定され、これはその起源(酵母、オート麦、大麦、真菌)に依存します。酵母由来のベータグルカンは、β-1,3/1,6-グルカンという独特の分子構造を持ち、最も強力な免疫増強能力を示すことが証明されています。

製パン用酵母(サッカロミセス・セレビシエ)由来のβ-1,3/1,6-グルカンは、最も研究されているベータグルカンであり、免疫刺激効果、作用機序、安全性に関して最も文書化されているため、他の源からのベータグルカンよりも優れていると考えられています。
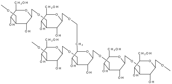
分子構造
エンジェル・イーストのベータグルカンは、長鎖の多糖類です。それは主鎖のβ-1,3-グルカンと分岐鎖のβ-1,6-グルカンを含み、分子量は約500-1000KDです。

ベットカン酵母のベータグルカン分子構造
免疫サポートのメカニズム
消化管は体内で重要な免疫器官であり、樹状細胞やマクロファージといった先天性免疫細胞が豊富に存在し、腸を通過する成分を常に監視しています。これらの免疫細胞は、特化したパターン認識受容体(PRR)を備えており、有害な微生物に一般的に見られる構造を認識し、応答することができます。摂取されると、酵母由来のベータグルカンはこれらの免疫細胞の表面にあるPRRに結合します。この結合は免疫細胞に警告を発し、免疫システムをより強力にする一連の生化学的イベントを引き起こします。したがって、酵母由来のベータグルカンは免疫システムを単純に強化し、感染時に迅速に反応できるようにし、全体的な健康と幸福をサポートします。

応用
免疫の健康は、ライフスタイル、年齢、職業に関係なく、すべての年齢層にとって重要です。特に今日の多忙でしばしば困難なライフスタイルにおいて、重要なテーマとなっています。したがって、免疫システムを強化する成分を含む製品は、現在多くの注目を集めています。このテーマのターゲットグループは、高齢者や子供だけでなく、スポーツをする人々やストレスを抱える人々も含まれ、免疫力を向上させることを目指しています。
ベットカン酵母ベータグルカンは、最高の認証品質基準に従って生産されています。さらに、コーシャおよびハラールの認証を受けています。酵母アレルギーのある方にも安全であり、アレルギーを引き起こす可能性のある酵母成分は、生産プロセス中に完全に除去されています。純粋で自然な成分として、ベジタリアンやヴィーガン製品にも使用できます。
◉ 乳製品
酵母ベータグルカンは、乳製品にとって安全で強力な免疫強化剤です。乳製品は急成長しているグローバルカテゴリーです。付加価値のある乳製品に対する消費者の需要は非常に大きいです。酵母ベータグルカンは、ヨーグルト、ヨーグルト飲料、牛乳および牛乳飲料の機能性成分として魅力的です。
◉ スポーツ栄養
スポーツ栄養製品は、健康志向の消費者の幅広い層を引き付けています。適切に機能する免疫システムは、運動能力やアクティブなライフスタイルにとって重要です。しかし、運動自体が免疫機能に影響を与えます。研究によれば、激しい運動は免疫システムを抑制し、体が自らを守る能力を損なうことが示されています。
酵母ベータグルカンは健康的な免疫機能をサポートし、アスリートやレクリエーション利用者が運動によるストレスからより早く回復できるよう助けます。研究により、経口摂取したベータ-1,3/1,6-グルカンが免疫機能を改善し、健康的な炎症反応を促進し、粘膜免疫をサポートし、呼吸器の健康を促進することが示されています。
酵母ベータグルカンは、エネルギーバー、栄養バーやプロテインバー、スポーツ・機能性飲料、粉末飲料など、さまざまなスポーツ栄養製品のフォーマットに適しています。
◉ 栄養補助食品
環境の悪化と高齢化に伴い、慢性疾患や健康障害の急増は、グローバルな公衆衛生の大きな課題となるでしょう。悪性新生物、消化性潰瘍、慢性胃炎、慢性腎炎、糖尿病、リウマチ性関節炎、肺気腫、慢性感染症などは、高齢者の身体抵抗力の低下と関連しています。酵母ベータグルカンを加えることで、身体の免疫力と抵抗力を改善できます。健康食品や栄養補助食品における酵母ベータグルカンは非常に一般的で、主に免疫調整や抗酸化作用などの機能のために使用されます。
◉ 機能性食品および飲料
新しい食品成分として、酵母ベータグルカンは乳製品、キャンディ、飲料、果汁、製パン食品など、特に高齢者向けの機能性食品に適用され、酵母ベータグルカンを加えることで製品にさまざまな健康機能を付与することができます。酵母ベータグルカンは、乳児用粉ミルク、機能性飲料、クッキー、プロテインバー、栄養スナック、プロバイオティクス顆粒などの食品に適用され、製品に多様な健康効果をもたらします。
規制
アメリカ合衆国では、酵母ベータグルカンはGRAS(一般に安全と認識されている)として認識されており、米国食品医薬品局(US.FDA)によって一般的に安全と見なされる食品物質です。製パン食品やプレミックス、飲料、穀物、乳製品、植物性タンパク質製品、加工果汁、ソフトキャンディ、スープなど、さまざまな食品に適用でき、1回の摂取あたり200mgを超えない量を加えることができます。
EUは、飲料やさまざまな食品を含む新しい食品成分として酵母ベータグルカンを承認しました。
中国は、酵母ベータグルカンを新しい食品成分および栄養強化剤として承認し、より大きな乳児用粉ミルクを含むさまざまな食品に使用できる。