概要 - Angelyeast-jp
    ホーム > 製品とサービス > バイオテクノロジー > バイオベースの材料 > PHA
概要
製品の利点
製品の応用

製品概要

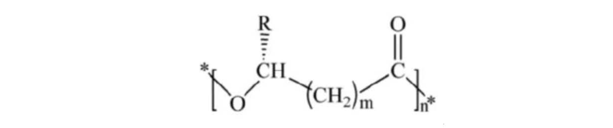
PHA(ポリヒドロキシアルカノエート)は、細菌細胞などの微生物細胞に見られるポリマーバイオマテリアルです。PHAは、成長条件が不均衡なときに細菌が生成するだけでなく、微生物における炭素源およびエネルギー貯蔵物質でもあります。PHAは、100〜3000の同一または異なるヒドロキシ脂肪酸モノマーからなるポリマーであり、そのほとんどは3〜14炭素原子の鎖長を持つ3-ヒドロキシ脂肪酸であり、側鎖は非常に多様な芳香族または脂肪族のグループです。

最新の研究によると、150種類以上のPHAモノマーが存在し、巨大なポリマーファミリーを構成しています。豊かで多様な材料特性と環境に優しい生分解性により、従来の石油化学プラスチック製品を置き換えるポリマーの一つとなっています。


PHA自然低炭素サイクルコンセプトアニメーション


現在、ポリヒドロキシブチレート(PHB)、3-ヒドロキシブチレート3-ヒドロキシバレレートコポリエステル(PHBV)、3-ヒドロキシブチレート3-ヒドロキシカプロエートコポリエステル(PHBHHx)、および3-ヒドロキシブチレート4-ヒドロキシブチレートコポリエステル(P34HB)の4種類のPHAが工業化されており、それぞれが実用的な応用において独自の利点を持っています。

PHA製品の性能は、他の生分解性材料と比較することも可能です。

材料特性を強化するための補完


製品ブランド


PB3000G

PB3420G

製品特性

· 優れた剛性

· 優れたバリア性

· 優れた耐熱性

· 強度は調整可能です

· 耐久性は調整可能です

· 良好な耐熱性

· 優れたバリア特性

アプリケーションの推奨

· 押出成形 · 3Dプリント成形 · 射出成形

· 熱成形 · 鋳造成形 · ブロー成形 · ブリスタ成形

· PLA、PBAT、PBSなどのブレンド改良に適しています


Phangel PHAと他のポリマー材料の特性の比較


特性

Phangel PHA

PLA

PBAT

PBS

PB3000G

PB3420G

ガラス転移温度,℃

0~5

-5~-3

60

-30

-32

融点,℃

175

170

166

115

114

融解指標,g/10分

3~15

3~12

10~25

1~8

4~30

密度,g/cm3

1.25

1.23

1.26

1.23

1.26

引張強度,Mpa

30~35

20~25

50

21

30

伸長破断時の名目ひずみ,%

2~5

5~10

/

/

/

片持ち梁のノッチ衝撃強度,KJ/m²

1~2

2~4

1

14

5

熱変形温度,℃

120~130

85~95

56

50

89