ホーム > ニュースとイベント > ブログ > 人間の健康
Yeast Mannoproteins: A Natural All-Rounder with Magical Applications from Gut Health to Winemaking

In today's pursuit of health and natural ingredients, a component derived from the yeast cell wall—Yeast Mannoproteins—is gradually gaining public attention. They are not only a crucial constituent of the yeast cell wall but also demonstrate broad application potential in food, health, brewing, and even cosmetics due to their unique structure and diverse biological activities.

Mannoproteins are highly branched complex carbohydrates. Their backbones consist of long chains of α-1,6-mannose, with side chains of short branches linked by α-1,2 and α-1,3 bonds. Some side chains are further branched via phosphodiester bonds. They can be divided into three distinct parts: the peptide chain, the core region, and the outer chain, with the polymer part located within it, as shown in Figure 1. The polymeric region consists of an α-(1,6)-glycosidic chain containing α-1,2-glycosidic and α-1,3-glycosidic mannooligosaccharides as side chains. The peptide region contains mannan directly linked to amino acids.

I. Structural Characteristics: The Unique Charm of Natural Glycoproteins

Mannoproteins are located in the outermost layer of the yeast cell wall. They are high-molecular-weight complexes formed by the covalent bonding of protein and mannose polysaccharides.

Its structure has the following characteristics:

Amphiphilicity: The molecules contain both hydrophilic and lipophilic groups, giving them good emulsifying properties and stability.

Complex Glycan Chains: The backbone is α-1,6-mannose, with side chains consisting of short chains linked by α-1,2 and α-1,3 bonds, forming a highly branched three-dimensional structure.

Diverse Glycosylation Types: Includes both N-glycosylation and O-glycosylation, endowing it with the potential to interact with various biological molecules.

II. Health Functions: More Than Just a "Gut Guardian"

1. Prebiotic Activity: The "Guardian Deity" of Intestinal Health

A healthy gut is the cornerstone of overall health. Scientific research confirms that yeast mannoproteins are excellent prebiotics.

Balancing Gut Microbiota: An in vitro fermentation experiment showed that yeast mannoproteins significantly reduced the Firmicutes/Bacteroidetes ratio, a recognized marker of a healthy gut microbiota community. They act like an intelligent "gardener," inhibiting harmful bacteria and promoting the growth of beneficial bacteria (such as Bacteroides), thereby optimizing the gut microecological environment.

Promoting Beneficial Metabolite Production: During cultivation, the content of short-chain fatty acids (SCFAs) like acetate and propionate in the yeast mannoprotein group was significantly higher than in the control group. These SCFAs are an energy source for intestinal cells, helping to maintain intestinal barrier integrity and create a healthy acidic environment.

Effectively Reducing Inflammation: More surprisingly, their fermentation metabolites demonstrated potent anti-inflammatory capabilities in cell experiments, significantly inhibiting the release of inflammatory factors TNF-α and IL-6 by macrophages. This means it can indirectly help the body alleviate chronic inflammation by modulating the gut microbiota.

Effect-of-Yeast-Mannoprotein-on-Gut-Microbiota-Composition-at-the-Phylum-Level.jpg

2. Antioxidant and Anti-Aging: The "Time Machine" for Youth

Aging is closely related to oxidative stress. Yeast mannoproteins show remarkable potential in the field of anti-aging, with related research published in the international journal Food Research International.

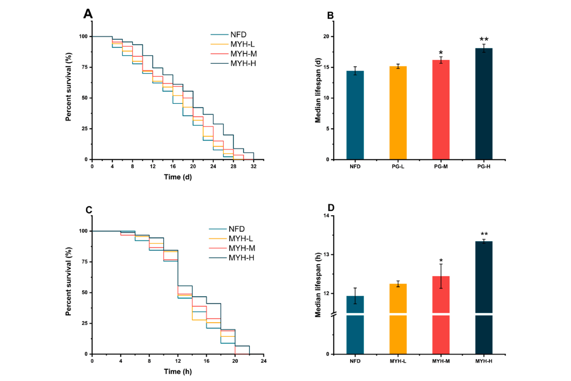
Significantly Extending Lifespan: In experiments using the renowned "anti-aging model organism" C. elegans, supplementation with different doses of yeast mannoproteins significantly extended the lifespan of the nematodes under various conditions (normal, heat stress, oxidative stress).

Enhancing Antioxidant Capacity: The mechanism behind this lies in their ability to effectively increase the activity of core antioxidant enzymes such as superoxide dismutase (SOD) and glutathione peroxidase (GSH-Px), while reducing the levels of reactive oxygen species (ROS) and malondialdehyde (MDA), which are "aging markers," thereby combating oxidative damage at its root.

Regulating Aging-Related Genes: Further research discovered that yeast mannoproteins can also regulate the expression of key longevity genes such as DAF-16 and SKN-1. This indicates that it not only addresses the symptoms but also tackles the root cause by influencing gene expression, deeply activating the body's own anti-aging defense system.

Lifespan-curves-and-median-lifespan-of-C.-elegans-supplemented-with-different-concentrations-of-MYH.jpg

3. Lipid-Lowering and Weight Management: A "Helper" for a Lightweight Physique

Facing the health challenges posed by high-fat diets, mannoproteins offer a natural solution. Research published in Frontiers in Nutrition reveals its effects.

Effectively Controlling Body Weight and Fat: In experiments with mice fed a high-fat diet (HFD), supplementation with yeast mannoproteins significantly suppressed weight gain from the 6th week onward and effectively reduced the accumulation of fat in various areas including epididymal, mesenteric, and subcutaneous fat, while also improving hepatic steatosis.

Comprehensively Improving Blood Lipid Profiles: In terms of blood indicators, it significantly reduced the high fasting blood glucose, total cholesterol (TC), triglycerides (TG), and "bad cholesterol" low-density lipoprotein cholesterol (LDL-C) levels induced by the HFD, with some indicators even returning to levels close to the normal group.

Multiple Mechanisms of Action: Its mechanism of action is closely related to modulating gut microbiota. Studies found that it promotes the growth of beneficial bacteria such as Parabacteroides distasonis, which is considered to play a positive role in metabolic health. Simultaneously, it increases intestinal acetate levels and activates related receptors, collectively contributing to the prevention of obesity and metabolic disorders.

Impact-of-HFD-and-MP-intervention-on-body-features-of-mice.jpg

III. Diverse Applications: Ubiquitous, from Food to Cosmetics

1. Food Industry: Natural Emulsifier and Stabilizer

Leveraging its amphiphilic structure, mannoproteins can serve as high-quality bio-emulsifiers in products like salad dressings and mayonnaise, potentially replacing some synthetic emulsifiers to enhance product stability and mouthfeel.

2. Winemaking: The "Invisible Hero" for Quality Enhancement

Adding mannoproteins to wine can:

Stabilize anthocyanins and tannins, maintaining the wine's color and flavor profile.

Promote malolactic fermentation, improving the taste.

Inhibit protein precipitation, enhancing the clarity of the wine body.

Currently, organizations such as the International Organisation of Vine and Wine (OIV) and the US FDA have approved its use as a wine stabilizer.

3. Feed Sector: A Green Alternative to Antibiotics

As a feed additive, mannoproteins can improve animal gut health, enhance immunity, and adsorb mycotoxins, gradually becoming an ideal substitute for antibiotics, widely used in poultry, livestock, and aquaculture farming.

4. Cosmetics: Moisturizing + Anti-Aging Dual Effects

Moisturizing: Mannoproteins have good water-holding capacity, with moisturizing properties superior to glycerol and comparable to hyaluronic acid.

Antioxidant: They can scavenge free radicals, reduce oxidative stress on the skin, contributing to anti-aging and skin repair.

Promoting Wound Healing: Studies show they can promote angiogenesis and accelerate tissue repair.

5. Fruit Preservation and Functional Food Development

As a natural coating agent, mannoproteins can effectively delay fruit spoilage and extend shelf life. Furthermore, their derivatives, such as mannooligosaccharides (MOS), are also used as prebiotics added to nutritional supplements and functional foods.

From the gut to the whole body, from internal vitality to external physique, the scientific research on yeast mannoproteins provides strong support for its role as a revolutionary functional food ingredient. Choosing it means opting for a lifestyle focused on inner and outer well-being, backed by scientific evidence.

References

1. Feng Zeng et al. Anti-oxidative and anti-aging effects of mannoprotein-rich yeast cell wall enzymatic hydrolysate by modulating gut microbiota and metabolites in Caenorhabditis elegans, 2023.

2. Li Xiang et al. Fermentation of yeast mannoprotein in vitro and anti-inflammatory activity of its metabolites, 2022.

3. Yeast mannoproteins are expected to be a novel potential functional food for attenuation of obesity and modulation of gut microbiota, 2022.

Yan Jun.jpg

Published by Yan Jun

Engineer of Nutrition and Health Division


About Angel Human Health:

Specialized in yeast and fermentation, AHH is committed to developing innovative, differentiated, science-based functional ingredients and customized solutions, to help our customers get enduring success, as well as contribute to a healthier and sustainable world together.

About Angel:

Angel Yeast Company is a high-tech listed company specializing in yeast and biotech. Product business covers Yeast and Baking, Yeast Extract-Savoury, Nutrition & Health and Biotechnology fields. It is one of the world's leading companies in the yeast industry. Angel has 12 holding subsidiaries and provides products and services for more than 170 countries and regions.

Press Contact:

ANGEL YEAST CO., LTD

Address: 168 Chengdong Avenue, Yichang, Hubei 443003, P. R.China

Tel: +86 717 6369570

Email: Nutritech@angelyeast.com

Related tags:
Related ブログ

すべて表示

contactus followus