Peptone, as one of the key ingredients in microbial culture media, plays a crucial role in influencing the fermentation viability and stability of probiotics, particularly lactic acid bacteria (LAB). In response to the demand for non-animal-derived culture media ingredients in the LAB fermentation industry, Angel Yeast has conducted extensive research on wheat peptone processing techniques and its nutritional properties. Through studies on LAB fermentation, Angel Yeast has identified specific nutrient components in wheat peptone preferred by LAB, optimizing production technology to develop a wheat peptone tailored for LAB fermentation. This product serves as a suitable alternative to animal-based organic nitrogen sources such as casein peptone and bovine bone peptone, positively impacting LAB morphology, fermentation viability, and stability.
Introduction to Lactobacillus acidophilus
Lactobacillus acidophilus is a widely prevalent probiotic found in the human gastrointestinal tract, especially in the small intestine. It plays an essential role in maintaining gut microbiota balance, promoting nutrient absorption, and boosting the immune system. By producing lactic acid, L. acidophilus lowers intestinal pH, thereby inhibiting the growth of harmful bacteria and supporting digestive health. Additionally, it synthesizes beneficial vitamins and enzymes, offering therapeutic benefits in preventing and treating conditions like diarrhea and vaginitis.
A New Plant-Based Nitrogen Source
With increasing concerns over the potential biosecurity risks of animal-derived hydrolysates, plant-based organic nitrogen sources have emerged as a promising alternative for probiotic production. Hydrolyzed wheat protein, a novel plant-based organic nitrogen source, is produced through enzymatic hydrolysis, filtration, and spray drying processes. It is rich in amino acids, providing essential nitrogen for microbial growth. Research shows that hydrolyzed wheat protein contains over 50% protein content, delivering ample nitrogen to meet the growth and metabolic needs of L. acidophilus. Its peptides, particularly those with molecular weights ranging from 2000 to 5000 Da, are vital nutrients that enhance bacterial biomass and viable cell counts.
Moreover, the high levels of glutamine and its peptides in wheat hydrolysate significantly impact the morphology and stability of L. acidophilus cells, promoting growth and improving survival rates under extreme conditions. These attributes highlight its potential value in the bio-fermentation industry.


Fig. 1 Growth curves of Lactobacillus acidophilus with different peptones and wheat protein hydrolysate
A Game-Changer for Lactobacillus Cultures
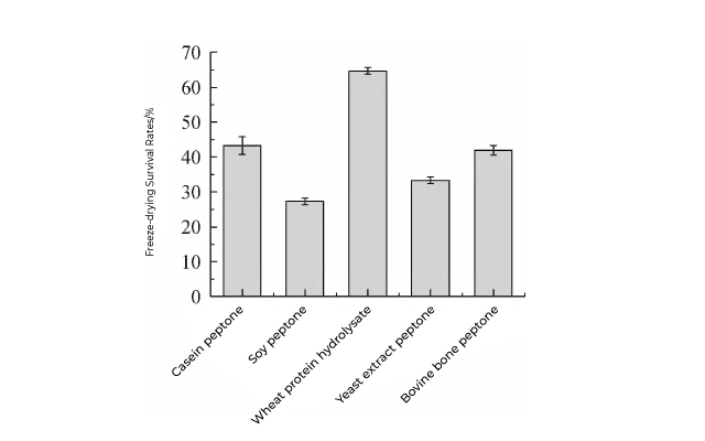
Hydrolyzed wheat protein not only influences the growth of L. acidophilus but also enhances its morphology and freeze-drying survival rates. Studies have shown that L. acidophilus cultured with hydrolyzed wheat protein exhibits shorter cell morphology, which is correlated with improved freeze-drying survival rates. These morphological changes may be linked to the absorption and utilization of peptides with varying molecular weights, thereby affecting cell growth and division rates.


Fig. 2 Effects of different peptones and wheat protein hydrolysate on freeze-drying survival rates
Hydrolyzed wheat protein has demonstrated significant growth-promoting effects on L. acidophilus cultures. It boosts biomass and viable cell counts, improves cell morphology, and enhances freeze-drying survival rates, thereby increasing cell stability. These benefits are critical for the production and storage of probiotic formulations. The findings provide a scientific basis for the potential industrial application of hydrolyzed wheat protein in the large-scale production of L. acidophilus, indicating its promising future in the probiotic sector. This offers a more robust scientific foundation for the production and application of probiotics, paving the way for broader adoption in the industry.
About Angel Fermentation Nutrients:
Angel Fermentation Nutrients, rich in protein, amino acids, peptides, nucleotides, B vitamins, and trace elements. With the advantages of having no allergic source and being non-transgenic, high efficiency, and stable quality, Angel YE are widely applied in biological laboratories and industrial-scale fermentation, promoting product safety and technical progress in the global fermentation industry.
About Angel:
Angel Yeast Company is a high-tech listed company specializing in yeast and biotech. Product business covers Yeast and Baking, Yeast Extract-Savoury, Nutrition & Health and Biotechnology fields. It is one of the world's leading companies in the yeast industry. Angel has 12 holding subsidiaries and provides products and services for more than 160 countries and regions.
Press contact:
email: tangshuo@angelyeast.com