ホーム > ニュースとイベント > ブログ > 人間の健康
How to choose beta-glucan with the best immunity-enhancing activity?

May 18th, 2020

By Jimmy Fu

With the global outbreak of the COVID-19 pandemic, dietary supplements with function of immunity-enhancing have reported a big increase in demand worldwide. As one of the most studied ingredients for immunity support, yeast beta-glucan is superstar nowadays in dietary supplements industry.

Beta-glucans can be widely found in nature, such as cereals, fungi, bacteria, etc. , all of which have different structures. Is beta-glucan from yeast the best source for immune support among those different types of sources?

Comparison of Yeast beta-glucan and other beta-glucans

Beta-glucans comprise a very diverse group of polysaccharides, but only very few has immune modulatory properties. Beta-1,3/1,6-glucan derived from baker's yeast (Saccharomyces cerevisiae) is the most studied beta-glucan and by far the best documented in terms of immune stimulatory efficacy, mode of action and safety, and is hence considered superior to beta-glucans from other sources. (see fig.1 )

beta glucan comparing.jpg

Fig. 1 Comparing of structures and functions of different beta-glucan sources


Beta-Glucans derived from different sources have differences in their structures. The content of β-1, 3 - glucan is a key factor in its role. The number and length of branched chain is the key to the specific binding of the immune cells of macrophages. These structural differences have large influence on the activity of the beta-glucan (see table 1). Beta-glucans derived from yeast possess the most potent immune-boosting activity[1].

Beta-glucan Type

Mechanism of Benefit

Bacterial Source

Single β-1, 3 - glucan cannot effectively bind to receptors on immune cells.

Grain Source

Oat beta-glucan is a linear polysaccharide which is connected by D-glucose with beta-1,4 and beta-1,3 glycosidic bond, the rough ratio of these two glycosidic bond is about 7:3. Beta-1,4-glucan cannot enhance the immune activity, and without β-1, 6 branch.

Mushroom Source

Mushrooms beta-glucans have short beta-(1,6)-linked branches and beta-(1,3) backbone. The degree of branching is high(too many branches), the branch is short.

Yeast Source

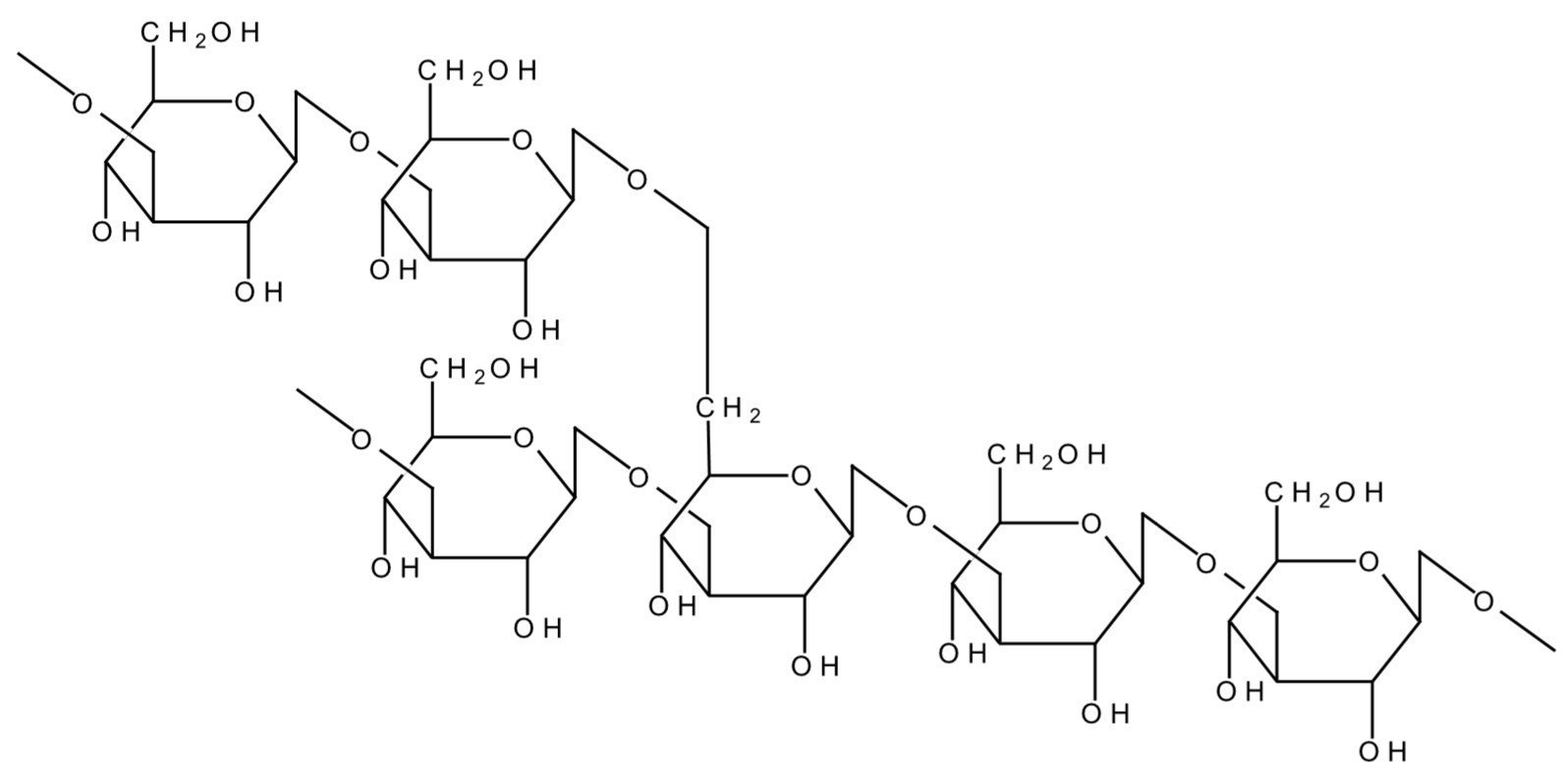
Yeast beta-glucan is connected by D-glucose, with beta-1,3 glycosidic bond as the main chain, and beta-1,6 glycosidic bond as the branched chain(see fig 2). Suitable length of branched chain and single β-1, 3- glucan backbone can effect in the enhancing immune activity as best. [2]

Table 1 Mechanism of benefits of different beta-glucan sources

Yeast beta glucan structure.png.jpg

Fig. 2 Molecular structure of yeast beta-glucan


Mechanism of immunity-enhancing by yeast beta-glucan

Mechanism of yeast beta-glucan.jpg

Fig. 3 Mechanism of immune support of yeast beta-glucan

Beta-glucans are captured by the macrophages via the Dectin-1 receptor with or without TLR-2/6. The large beta-glucan molecules are then internalized and fragmented into smaller sized beta-glucan fragments within the macrophages, then they are carried to the marrow and endothelial reticular system and subsequently released. These small beta-glucan fragments are eventually taken up by the circulating granulocytes, monocytes or macrophages via the complement receptor (CR)-3. The immune response will then be turned on, one of the actions is the phagocytosis of the monoclonal antibody tagged tumor cells[3].


Application Guide for Immunity Enhancing

Dosage: Yeast beta-glucan, 250 - 500 mg daily for immune system.

Source: Make sure to take beta-glucan from yeast, with the best proven immunity-enhancing efficacy comparing to other beta-glucan sources.

Effect: Immunity-enhancing and preventing acute respiratory infections. Most people take immune boosters for protection against colds and flu and other upper respiratory infections, and yeast beta-glucan has been demonstrated to be an effective ingredient.


Reference

[1] Dalia Akramienė, et al. Effects of beta-glucans on the immune system. Medicina (Kaunas) 2007; 43(8):597-606.

[2] Graubaum HJ, et al. A Double-Blind, Randomized, Placebo-Controlled Nutritional Study Using an Insoluble Yeast Beta-Glucan to Improve the Immune Defense System. Food and Nutrition Sciences, 2012, 3, 738-746.

[3] Godfrey Chi-Fung Chan, et al. The effects of beta-glucan on human immune and cancer cells. Journal of Hematology & Oncology 2009, 2:25.

Yeast beta glucan banner during COVID19.png


About Angel Human Health

Specialized in yeast and fermentation, AHH is committed to developing innovative, differentiated, science-based functional ingredients and customized solutions, to help our customers get enduring success, as well as contribute to a healthier and sustainable world together.

ahh logo 1.png

About Angel:

Angel Yeast Company is a high-tech listed company specializing in yeast and biotech. Product business covers Yeast and Baking, Yeast Extract-Savoury, Nutrition & Health and Biotechnology fields. It is one of the world's leading companies in the yeast industry. Angel has 12 holding subsidiaries and provides products and services for more than 150 countries and regions.

Press Contact:

ANGEL YEAST CO., LTD

Address: 168 Chengdong Avenue, Yichang, Hubei 443003, P.R.China

Tel: +86 717 6369570

Email: Nutritech@angelyeast.com


Related tags:
Related ブログ

すべて表示

contactus followus